TÜRKİYE İKLİMLENDİRME SANAYİ SEKTÖR RAPORU
2015
98
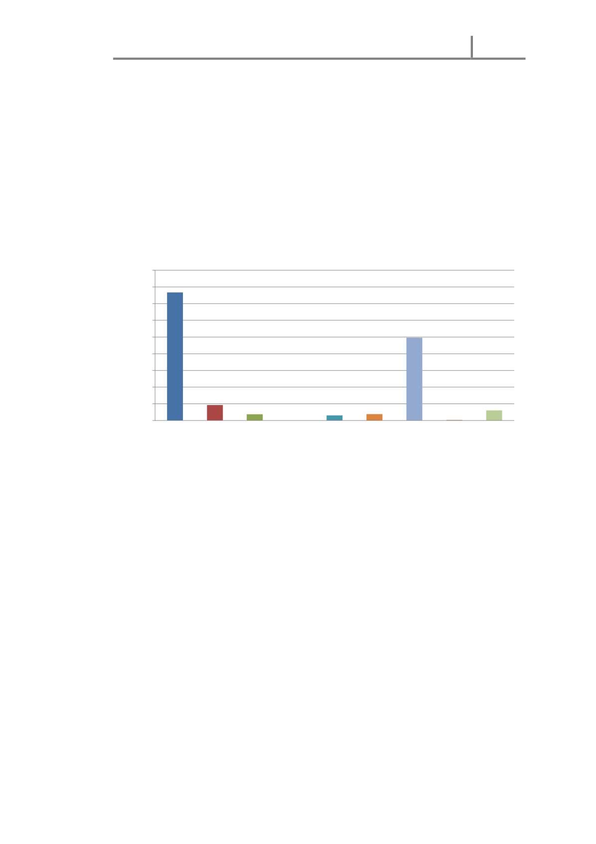
Şekil 8’de, 2013 yılı İklimlendirme Sektörü Marmara Bölgesi istihdam/tesis
oranlarının personel sınıflarına göre dağılımı sunulmuştur. Şekil 8’e göre, Marmara
Bölgesi’nde istihdam edilen personel sınıflarının tesise oranları; işçi/tesis (25),
idari/tesis (5), mühendis/tesis (2), teknisyen/tesis (2), usta/tesis (2) olarak
gerçekleşmiştir. Toplam personel açısından ise istihdam/tesis oranı 39 olarak
gerçekleşmiştir.
Şekil 8.
2013 Yılı İklimlendirme Sektörü Marmara Bölgesi İstihdam-Tesis
Oranlarının Personel Sınıflarına Göre Dağılımı (Adam/Adet)
Şekil 9’da, 2013 yılı İklimlendirme Sektörü Doğu Anadolu Bölgesi tesis sayılarının
ürün bazında dağılımı sunulmuştur. Şekil 9’a göre, tesis sayısı açısından Doğu
Anadolu Bölgesi’nde kazan (11), pompa (4), eşanjör (4), radyatör (1), ısıtıcı (1) ve
vana (1) olarak sıralanmaktadır.
38,4
4,7
1,9
1,5
1,9
24,8
0,2
3,0
0
5
10
15
20
25
30
35
40
45
Personel
İdari
Mühendis Diğer
Teknik
Teknisyen Usta
İşçi
Çırak
Kalfa
İstihdam/Tesis Oranı (Adam/Adet)
İstihdam Edilen Personel Sınıfları




