TÜRKİYE İKLİMLENDİRME SANAYİ SEKTÖR RAPORU
2015
129
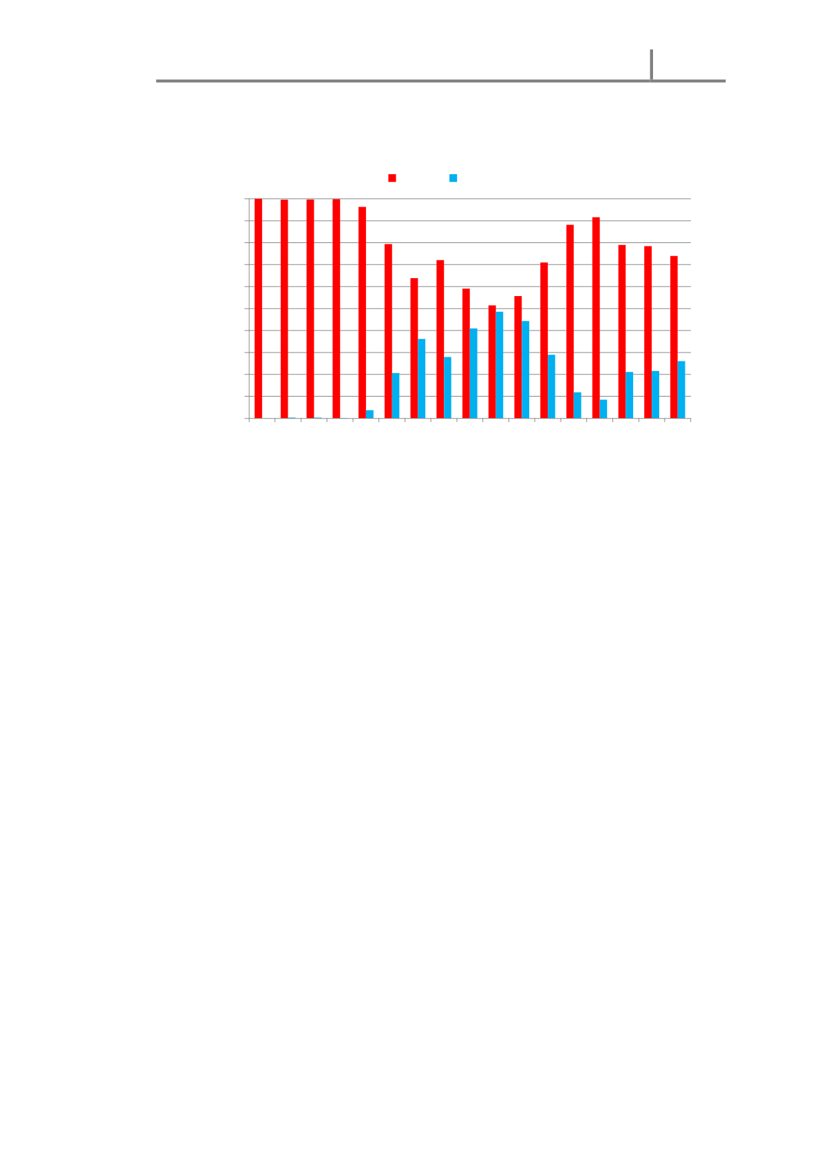
Şekil 37.
1998- 2014 Çatı/Paket (DX) tip klima, iç satış-ihracat oranlarının
değişimi[16]
2002 yılında başlayan ihracat atağı, 2005 yılında azalma eğilimi gösterse de, 2006
yılında, önceki senelerdeki artış hızı yakalanmıştır. 2007 yılında ise ihracat-iç satış
oranları
,
%49 - %51 seviyesine ulaşarak aynı mertebeye ulaşmayı başarmıştır. 2007
yılında ihracat – iç satış oranı dengelenmiş ancak, küresel kriz ile ulaşılan bu denge
2009 yılına gelindiğinde iç satış lehine bozularak, % 30/70 ihracat – iç satış oranına
ulaşılmıştır. 2010 yılında ihracat – iç satış oranı 2009 yılındaki hızla düşmeye devam
ederek % 12/88 mertebesine erişmiştir. 2011 yıında Çatı/paket tip klima iç-satış ihracat
oranı % 92-8 iken 2012 yılında bu oran % 79-21 seviyesine yükselmiştir. 2012 yılında
iç-satış ihracat %79/21 oranına yükselerek bu artış 2013 yılında da az da olsa devam
ederek %78/22 seviyesine ulaşmış, 2014 yılında ise %74/26 olarak gerçekleşmiştir.
2.2.6
Fan Coil Üniteler
Fan Coil Ünitelere ait veriler, Çizelge 12’de sunulmuştur. Bu çizelgeye göre, 2000
yılından sonra iç satış, 2001 yılından sonra imalat-ithalat miktarlarında bir tırmanış
başlamıştır. 1998-2001 yılları arasındaki ortalama değerler; imalat için 28.998 adet,
ithalat için 18.509 adet, iç satış için 40.263 adet, ihracat için 6.789 adet olarak
gerçekleşmiştir. 2002-2006 yılları arasındaki ortalama değerler; imalat için 37.742
adet, ithalat için 35.990 adet, iç satış için 61.529 adet, ihracat için 12.080 adet olarak
gerçekleşmiştir (Çizelge 12).
0
10
20
30
40
50
60
70
80
90
100
1998 1999 2000 2001 2002 2003 2004 2005 2006 2007 2008 2009 2010 2011 2012 2013 2014
İç Satış - İhracat Karşılaştırması (%)
Yıllar
İç Satış İhracat




