TÜRKİYE İKLİMLENDİRME SANAYİ SEKTÖR RAPORU
2015
177
“Isıtma Sistem ve Elemanları” gelmektedir. 2012 yılında, 2011 yılına oranla %1’lik
bir düşüş gerçekleşen “Havalandırma, Klima Sistem ve Elemanları” % 35 ticaret payı
ile birinciliğini korumuştur. “Tesisat Sistem ve Elemanları”nda % 30’luk oran
korunarak ile ikinciliği devam etmiştir. “Soğutma Sistem ve Elemanları”nda %2’lık
bir artış yaşanarak %27 ile üçüncülük sırasını korumuştur. “Isıtma Sistem ve
Elemanları”nda %1’lik bir düşüş yaşanarak %8 ile dördüncülüğünü devam ettirmiştir.
2013 yılında, 2012 yılına oranla %1’lik bir artış gerçekleşen “Havalandırma, Klima
Sistem ve Elemanları” %36 ticaret payı ile birinciliğini korumaktadır. “Tesisat Sistem
ve Elemanları” nın ticaret payında bir değişim gözlenmemiş ve %30 ile ikinci sırasını
korumuştur. “Soğutma Sistem ve Elemanları”nda değişim gözlenmemiştir ve yine
üçüncü sırada yer almıştır. “Isıtma Sistem ve Elemanları”nda %1’lik bir gerileme
yaşanarak %7 ile dördüncülüğünü devam ettirmiştir. 2014 yılında, Soğutma ticaret
payı % 1 azalırken, tesisat ticaret payı % 1 artmış buna karşılık ısıtma ile havalandırma,
klima ticaret payı sabit kalmıştır.
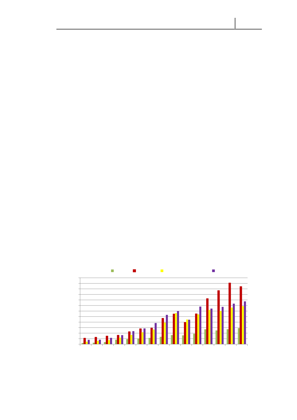
Şekil 74, 75 ve 76, Çizelge 22a’daki veriler baz alınarak oluşturulmuştur. Şekil 74’te
2000-2014 yılları arasındaki iklimlendirme sektörü ürün gruplarının ihracat değerleri
karşılaştırmaları milyon USD cinsinden sunulmuştur. Şekil 75’de, 2000-2014
İklimlendirme Sektörü Ürün Gruplarının ihracat payları (%) karşılaştırmaları
sunulmuştur.
Şekil 74.
2000-2014 İklimlendirme Sektörü Ürün Grupları İhracat Değerleri
Karşılaştırmaları (USD)
0,0
0,2
0,4
0,6
0,8
1,0
1,2
1,4
1,6
1,8
2,0
2,2
2,4
2000 2001 2002 2003 2004 2005 2006 2007 2008 2009 2010 2011 2012 2013 2014
İhracat-Değerleri (USD) Milyar
Yıllar
Isıtma Soğutma Havalandırma+Klima Tesisat




