TÜRKİYE İKLİMLENDİRME SANAYİ SEKTÖR RAPORU
2015
187
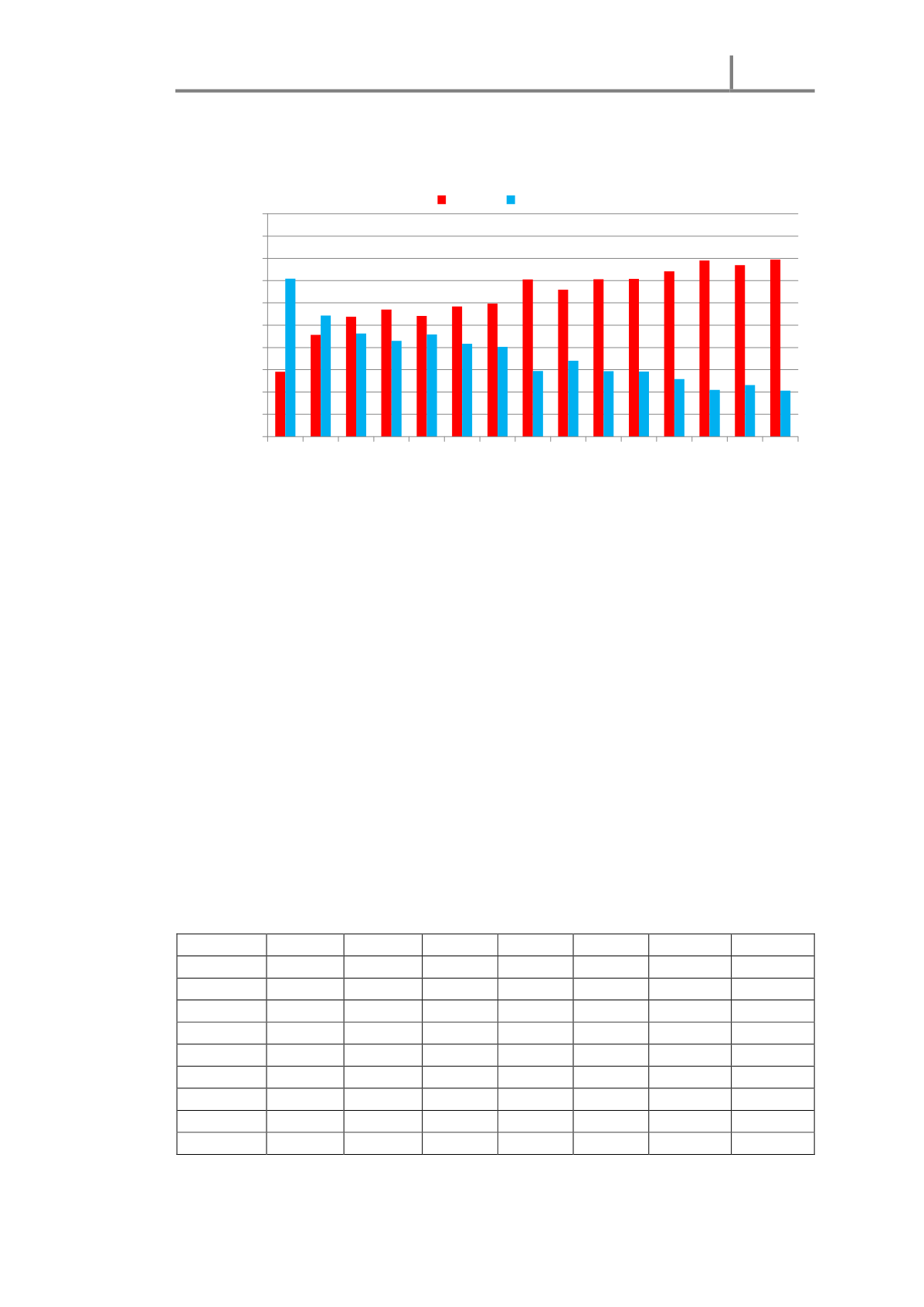
Şekil 83.
2000-2014 Soğutma Makinaları İhracat-İthalat Karşılaştırmaları (%)
Şekil 83 incelenecek olursa, 2000 yılında %30-70 ihracat – ithalat oranı olan “Soğutma
Makinaları” sektörü, 2010 yılında tam ters bir tablo sergileyerek % 70 – 30 ihracat –
ithalat oranına ulaşmıştır. 2011 yılında ise bu oran %74-26 seviyesine erişmiştir. 2012
yılına gelindiğinde, Soğutma Makinaları ihracat-ithalat oranı %79-21 olarak
gerçekleşmiştir. 2013 yılında ise soğutma makinaları % 2 değişimle ihracat-ithalat
oranı % 77-23 seviyesine gerilemiştir. 2014 yılında bu oran % 80-20 dengesine
ulaşmıştır.
(c)
Kazan
Çizelge 28’de, 2000-2013 yılları arasında iklimlendirme alt sektörlerinden kazan
ihracat ve ithalat değerleri USD cinsinden sunulmuştur.
Çizelge 28a.1 2000-2006 Kazan ihracat Değerleri (USD)
0
10
20
30
40
50
60
70
80
90
100
2000 2001 2002 2003 2004 2005 2006 2007 2008 2009 2010 2011 2012 2013 2014
Soğutma Makinaları İthalat - İhracat
Oranları (%)
Yıllar
İhracat İthalat
GTİP-12
2000
2001
2002
2003
2004
2005
2006
840212000000
185.293
85.686
254.426
687.715
465.681
1.039.419
1.027.260
840219100000
16.585
16.190
1.550.972
51.678
28.826
146.205
82.001
840219900011
162.217
503.243
490.037
1.116.824
1.004.676
1.293.267
466.974
840310100000
3.863.726
2.472.132
4.439.425
6.080.788
7.495.766
11.371.858
15.102.492
840310900000
2.208.306
2.008.917
15.506.643
75.318.932
95.098.278
109.336.660
124.736.684
840390100000
111.051
574.234
299.455
181.488
692.170
746.347
628.126
840390900000
1.874.346
3.468.046
3.959.596
4.598.617
3.651.045
3.712.134
1.874.217
840410009011
18.588
62.183
9.185
19.121
66.835
249.523
233.480
TOPLAM
8.440.112
9.190.631
26.509.739
88.055.163
108.503.277
127.895.413
144.151.234




