TÜRKİYE İKLİMLENDİRME SANAYİ SEKTÖR RAPORU
2015
194
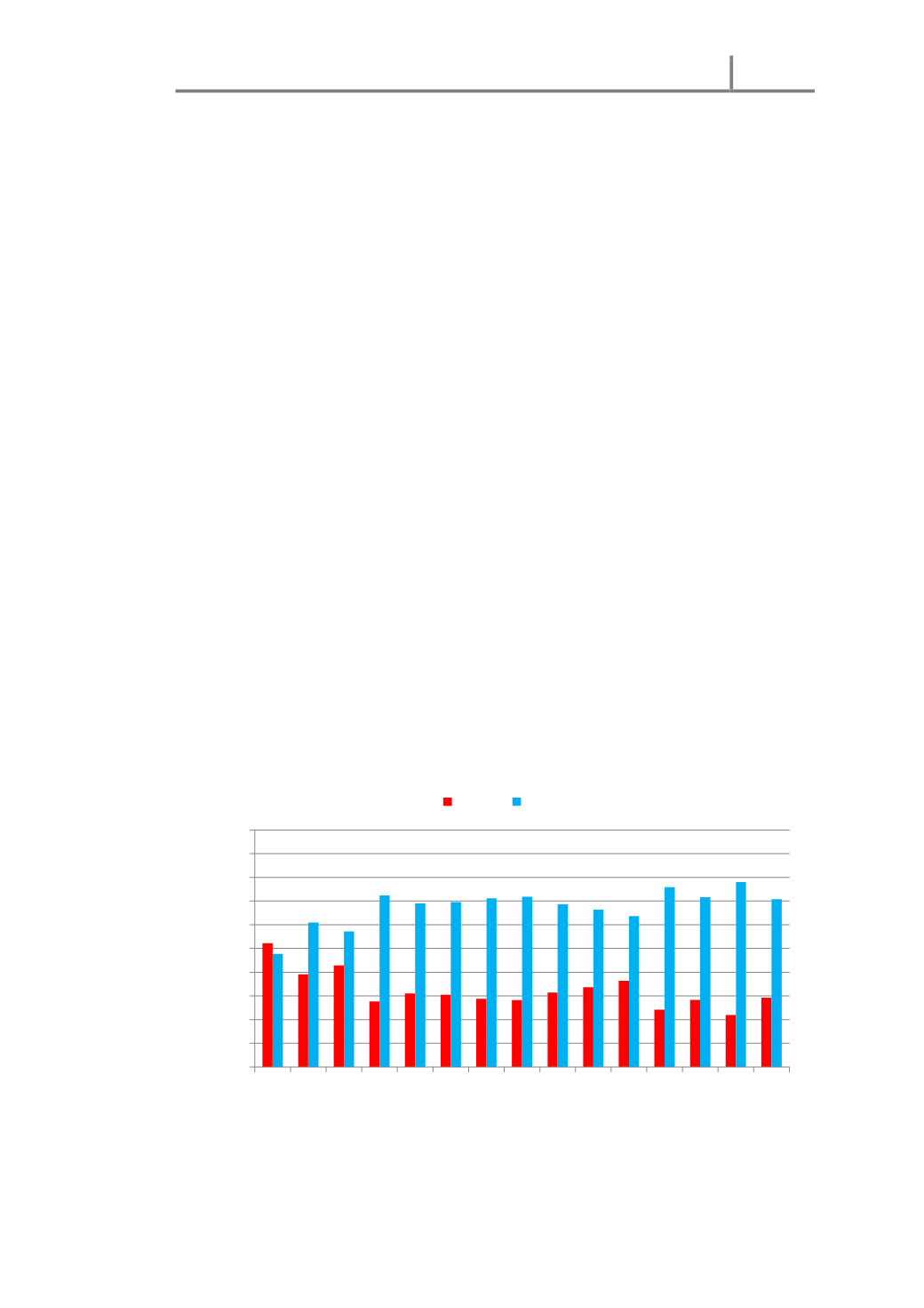
Şekil 86 incelendiğinde, 2000 yılında 61 Milyon USD olan ithalat, 2010 yılında 165
Milyon USD mertebesine ulaşmıştır. İhracat değerleri ise, 2000 yılında 67 Milyon
USD değerinden, 2010 yılında 95 Milyon USD değerine ulaşmıştır. 2000 yılında
endüstriyel ısıtıcı ihracat – ithalat oranı 1,1 kat gerçekleşmesine karşın, 2000- 2007
dönemini içeren 7 yıl zarfında ithalattaki artış ihracattaki artıştan fazla gerçekleşerek
2007 yılında ihracat – ithalat oranı % 39 seviyelerine gerilemiştir. 2007 – 2010
dönemini kapsayan 3 yıl zarfında, krizin etkisiyle hem ithalatta hem de ihracatta
düşüşler meydana gelmiştir. Ancak, ithalattaki düşüş ihracattaki düşüşten fazla olmuş
ve 2010 yılında, ihracat – ithalat oranı %58 seviyesine düşmüştür. Bu düşüş, ihracat
ithalat arasındaki açığın azalması bakımından sevindirici olmasına karşın değer olarak
düşük mertebelerde seyretmesi düşündürücüdür. 2011 yılına gelindiğinde, Endüstriyel
Isıtıcı ithalatında gözlenen tırmanış ticaret açığının 250 milyon USD’a ulaşmasına
sebep olmuştur. 2012 yılında, Endüstriyel Isıtıcı ithalatında %19’a varan ani düşüş
gözlenmiştir ve ithalat değeri 316 Milyon USD’a gerilemiştir. 2010-2014 yılları
arasındaki dönemde inişli çıkışlı bir seyir izleyen endüstriyel ısıtıcı ithalatı, 2013
yılında 350 milyon USD, 2014 yılında 230 milyon USD seviyesine ulaşmıştır. Aynı
dönemde, endüstriyel ısıtıcı ihracatında da benzer dalgalanmalar yaşanmasıyla birlikte
bu dalgalanmaların büyüklüğü daha az olmuştur ve 2014 yılında 95 milyon USD
değerinde ihracat ile sonuçlanmıştır.
Şekil 87.
2000-2014 Endüstriyel Isıtıcı İhracat-İthalat Karşılaştırmaları (%)
0
10
20
30
40
50
60
70
80
90
100
2000 2001 2002 2003 2004 2005 2006 2007 2008 2009 2010 2011 2012 2013 2014
End. Isıtıcı İthalat - İhracat Oranları (%)
Yıllar
İhracat İthalat




