TÜRKİYE İKLİMLENDİRME SANAYİ SEKTÖR RAPORU
2015
329
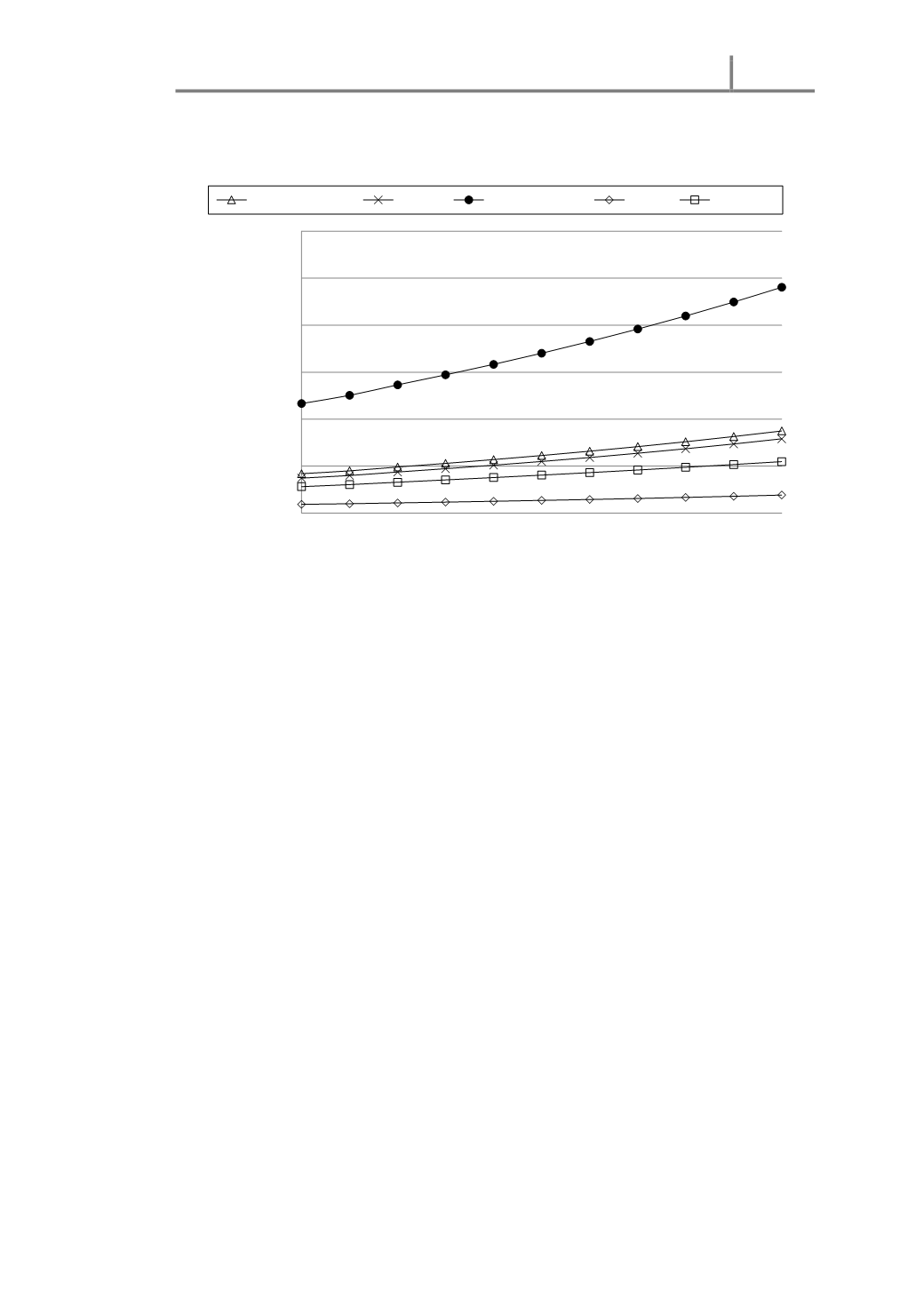
Şekil 146. 2013-2023 İklimlendirme Alt Sektörleri Ticaret Hacmi Öngörüleri
(Model- IIB)
(3)
Ticaret Hacmi Senaryo-C:
GSYH Senaryo-3 ve Nüfüs Senaryo-2
Bu senaryoda, GSMH’da %3.5’lük büyüme ve nüfus artışının orta olduğu durum
dikkate alınarak 2023 yılında ulaşılabilecek en yüksek ticaret hacmi değeri yaklaşık
25 milyar USD olarak öngörülmüştür. Bu senaryoda, olası bir mali kriz, savaş, vb.
olağandışı durumlar dikkate alınmamıştır.
Çizelge 75’de Model IIC kullanılarak 2013-2023 yılları arasında elde edilen
iklimlendirme ve alt sektörleri ithalat öngörüleri sunulmuştur. Çizelge 75’e göre, 2023
yılında iklimlendirme sektörünün gerçekleştireceği öngörülen ithalat miktarı yaklaşık
13.6 milyar USD olarak tahmin edilmiştir. İklimlendirme ithalatına alt sektörlerin
katkısı; ısıtma 0.9 milyar USD, soğutma 1.9 milyar USD, havalandırma 6 milyar USD
ve tesisat 4.8 milyar USD olacağı öngörülmektedir.
0
5
10
15
20
25
30
2013
2015
2017
2019
2021
2023
İklimlendirme Alt Sektörleri Ticaret Hacmi
Öngörüleri (USD)
Milyar
Yıllar
HAVALANDIRMA TESİSAT
TİCARET HACMİ
ISITMA SOĞUTMA




