TÜRKİYE İKLİMLENDİRME SANAYİ SEKTÖR RAPORU
2015
338
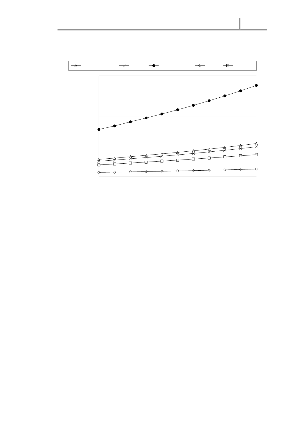
Şekil 152. 2013-2023 İklimlendirme Alt Sektörleri Ticaret Hacmi Öngörüleri
(Model- IID)
6.2 Hedefler (Strateji Belgesi [34])
Cumhuriyetimizin kuruluşunun yüzüncü yılı olan 2023 yılında ortaya konulan 500
milyar dolarlık ihracat hedefi, bir çok sektör tarafından tartışılmaktadır. Bu kapsamda,
makina imalat sektörü, toplam ihracatın % 20’si olan 100 milyar doları, 2023 yılında
gerçekleştirebilmek için hedef olarak belirlemiştir. Bu miktarın %25’ini kendine hedef
seçen İklimlendirme sektörü 2023 yılında 25 milyar dolarlık bir ihracat
hedeflemektedir.
2010 yılında, ticaret hacmi yaklaşık 7 milyar dolar olan Türkiye iklimlendirme
sektörünün İç Pazar büyüklüğünün 2023 yılında, 35 milyar dolarlık bir hacme
ulaşacağı beklenmektedir. Bu pazarın % 60’ına karşılık gelen miktar olan 21 milyar
doların ithalat ile, geri kalan kısmının ise Türkiye’de üretim ve servis hizmeti veren
iklimlendirme firmaları tarafından karşılanması hedeflenmektedir.
Sonuç olarak, Türkiye iklimlendirme sektörünün 2023 yılında 25 milyar doları ihracat
ve 14 milyar doları iç pazardan gelmesi beklenen toplam 39 milyar dolarlık bir üretim
ve hizmet hedefi vardır.
0
5
10
15
20
25
2013
2015
2017
2019
2021
2023
İklimlendirme Alt Sektörleri Ticaret Hacmi
Öngörüleri (USD)
Milyar
Yıllar
HAVALANDIRMA TESİSAT
TİCARET HACMİ
ISITMA SOĞUTMA




