106
72. GENEL KURUL
Türkiye Odalar ve Borsalar Birliği •
www.tobb.org.trTablo 74. Menkul Kıymetler Borsalarında Çeşitli Göstergeler
(Milyon TL)
Yıllar
Aylar
Hisse Senetleri
Piyasaları İşlem Hacmi
Kamu Menkul Kıymetleri Kesin
Alım-Satım İşlem Hacmi
Repo-Ters Repo
Piyasası İşlem Hacmi
Altın Borsası TL ile
Yapılan İşlem Hacmi
2013
Ocak
83.890
46.876
284.902
74
Şubat
63.157
33.563
251.687
141
Mart
61.185
33.665
268.624
149
Nisan
61.142
38.906
280.721
335
Mayıs
78.570
41.719
295.557
124
Haziran
77.262
40.501
281.825
59
Temmuz
71.857
35.050
314.549
96
Ağustos
51.927
22.581
236.497
101
Eylül
73.158
40.025
250.177
181
Ekim
56.212
25.883
190.774
156
Kasım
69.848
24.289
229.492
495
Aralık
68.650
21.163
243.843
413
Toplam
816.858
404.223
3.128.647
2.326
2014
Ocak
76.860
26.876
246.142
170
Şubat
57.600
19.304
206.415
67
Mart
60.726
25.389
231.635
96
Nisan
72.648
27.378
248.355
73
Mayıs
69.862
34.550
233.574
57
Haziran
71.772
29.452
255.736
106
Temmuz
63.568
18.116
227.530
54
Ağustos
73.631
30.439
221.917
54
Eylül
73.020
29.048
219.183
346
Ekim
72.363
24.526
215.742
222
Kasım
84.369
24.789
224.577
378
Aralık
96.513
30.085
264.537
76
Toplam
872.931
319.951
2.795.342
1.700
2015
Ocak
98.410
33.064
243.583
164
Şubat
95.727
23.935
238.872
61
Mart
100.995
24.312
264.001
72
Nisan
88.973
18.902
260.626
73
Mayıs
84.658
21.517
249.207
51
Haziran
87.284
21.470
297.344
53
Temmuz
74.524
18.698
260.524
190
Ağustos
66.039
13.808
249.019
66
Eylül
58.091
11.628
223.543
60
Ekim
86.866
22.255
223.846
142
Kasım
94.290
22.122
210.936
98
Aralık
90.016
17.741
209.901
51
Toplam
1.025.874
249.452
2.931.402
1.081
Kaynak: KB, SPK.
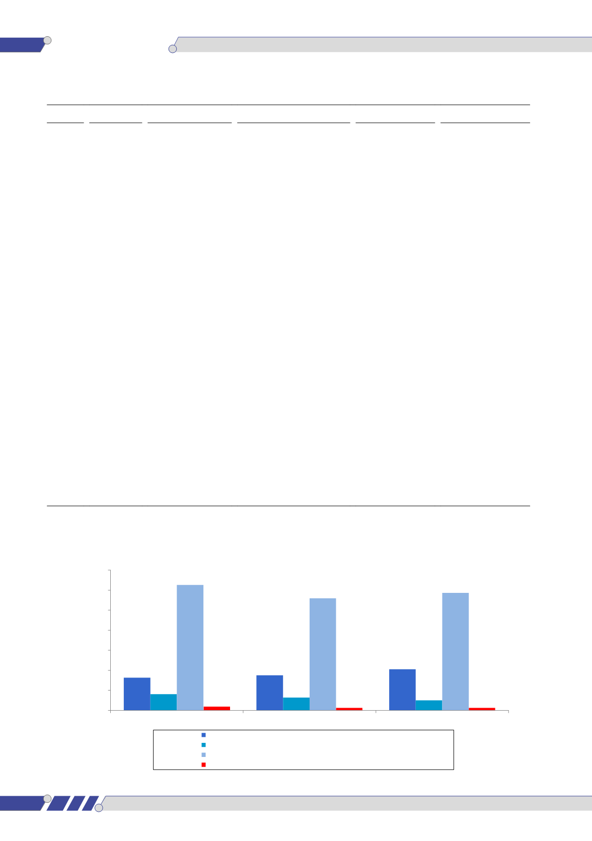
816.858
872.931
1.025.874
404.223
319.951
249.452
3.128.647
2.795.342
2.931.402
2.326
1.700
1.081
0
500.000
1.000.000
1.500.000
2.000.000
2.500.000
3.000.000
3.500.000
2013
2014
2015
Grafik 38. Menkul Kıymetler Borsalarında Çeşitli Göstergeler
Hisse Senetleri Piyasaları İşlem Hacmi
Kamu Menkul Kıymetleri Kesin Alım-Satım İşlem Hacmi
Repo-Ters Repo Piyasası İşlem Hacmi
Altın Borsası TL ile Yapılan İşlem Hacmi
Kaynak: KB, SPK.
(Milyon TL)
Grafik 38. Menkul Kıymetler Borsalarında Çeşitli Göstergeler




