8
72. GENEL KURUL
Türkiye Odalar ve Borsalar Birliği •
www.tobb.org.tr(Dolar)
Değişim (%)
Ülke Grupları/Ülkeler
2013
2014 2015
(1)
2014 2015
Gelişmiş Ülkeler
43.364
44.630
45.724
2,9
2,5
ABD
52.608
54.370
55.904
3,4
2,8
Euro Bölgesi
-
-
-
-
-
Almanya
44.946
46.216
47.033
2,8
1,8
Fransa
39.979
40.538
41.221
1,4
1,7
İtalya
35.349
35.131
35.665
-0,6
1,5
İspanya
32.741
33.835
35.270
3,3
4,2
Yunanistan
25.178
25.954
25.762
3,1
-0,7
Japonya
36.868
37.519
38.211
1,8
1,8
Kanada
43.670
44.967
45.489
3,0
1,2
İngiltere
38.295
39.826
40.958
4,0
2,8
G7 Ülkeleri
44.997
46.220
47.321
2,7
2,4
Gelişmekte Olan Ülkeler
9.759
10.225
10.583
4,8
3,5
Rusya
24.343
24.449
23.744
0,4
-2,9
Türkiye
19.041
19.698
20.277
3,5
2,9
Gelişmekte Olan Asya Ekonomileri
8.685
9.334
9.942
7,5
6,5
Çin
12.188
13.224
14.190
8,5
7,3
Hindistan
5.397
5.808
6.209
7,6
6,9
ASEAN-5
(2)
10.093
10.584
11.037
4,9
4,3
Latin Amerika ve Karayipler
15.281
15.551
15.467
1,8
-0,5
Brezilya
16.008
16.155
15.690
0,9
-2,9
Meksika
17.482
17.950
18.335
2,7
2,1
Kaynak: IMF, World Economic Outlook, October 2015
(1): 2015 yılı verileri tahmindir.
(2): Endonezya, Malezya, Filipinler, Tayland ve Singapur.
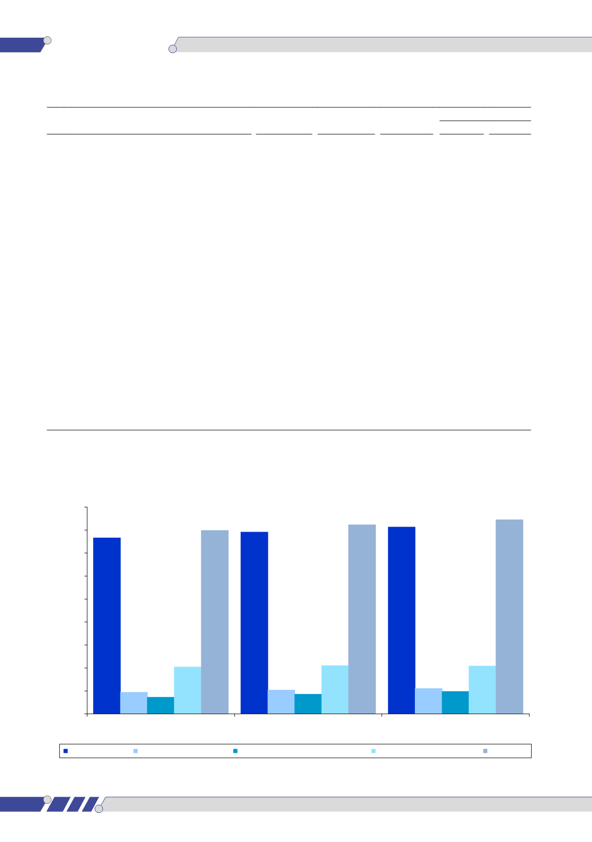
2014
2015
43.364
44.630
45.724
9.759
10.225
10.583
8.685
9.334
9.942
15.281
15.551
15.467
44.997
46.220
47.321
5.000
10.000
15.000
20.000
25.000
30.000
35.000
40.000
45.000
50.000
(Dolar)
Grafik 2. Kişi Başına GSYH (Satın Alma Gücü Paritesine Göre)
Gelişmiş Ülkeler Gelişmekte Olan Ülkeler Gelişmekte Olan Asya Ekonomileri
Latin Amerika ve Karayipler G7 Ülkeleri
Kaynak: IMF.
2014
2015
2013
Tablo 2. Kişi Başına GSYH (Satın Alma Gücü Paritesine Göre)
Grafik 2. Kişi Başına GSYH (Satın Alma Gücü Paritesine Göre)




