18
72. GENEL KURUL
Türkiye Odalar ve Borsalar Birliği •
www.tobb.org.tr(%)
Ülke Grupları/Ülkeler
2013
2014
2015
(1)
Gelişmiş Ülkeler
7,9
7,3
6,8
ABD
7,4
6,2
5,3
Euro Bölgesi
12,0
11,6
11,0
Almanya
5,2
5,0
4,7
Fransa
10,3
10,3
10,2
İtalya
12,2
12,7
12,2
İspanya
26,1
24,5
21,8
Yunanistan
27,5
26,5
26,8
Japonya
4,0
3,6
3,5
Kanada
7,1
6,9
6,8
İngiltere
7,6
6,2
5,6
G7 Ülkeleri
7,1
6,4
5,9
Gelişmekte Olan Ülkeler
-
-
-
Rusya
5,5
5,2
6,0
Türkiye
9,0
9,9
10,8
Gelişmekte Olan Asya Ekonomileri
-
-
-
Çin
4,1
4,1
4,1
Hindistan
-
-
-
ASEAN-5
(2)
-
-
-
Latin Amerika ve Karayipler
-
-
-
Brezilya
5,4
4,8
6,6
Meksika
4,9
4,8
4,3
Kaynak: IMF, World Economic Outlook, October 2015
(1): 2015 yılı verileri tahmindir.
(2): Endonezya, Malezya, Filipinler, Tayland ve Singapur.
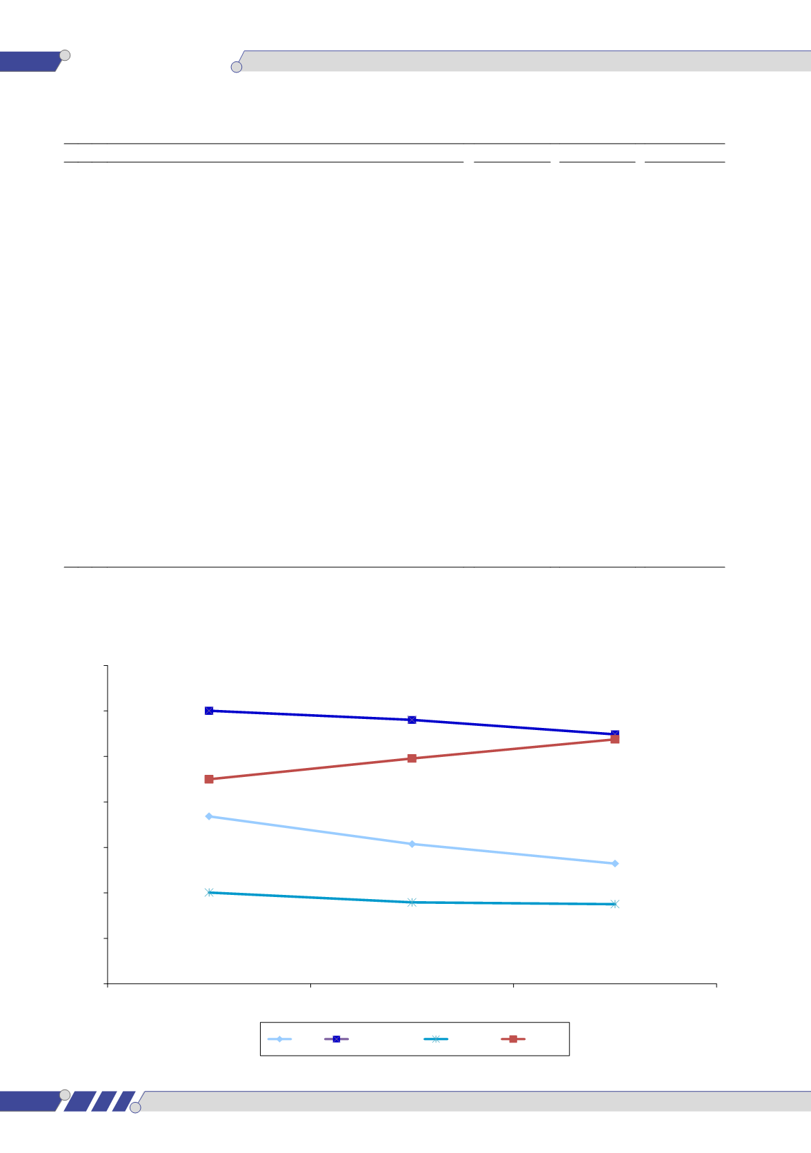
Grafik 5. İşsizlik Oranları
Tablo 9. İşsizlik Oranları
7,4
6,2
5,3
12,0
11,6
11,0
4,0
3,6
3,5
9,0
9,9
10,8
0
2
4
6
8
10
12
14
2013
2014
2015
(%)
Grafik 5. İşsizlik Oranları
ABD Euro Bölgesi
Japonya
Türkiye
Kaynak
: IMF.




