Türkiye Odalar ve Borsalar Birliği • www.
tobb.org.tr73. GENEL KURUL
144
68.514
63.998
68.357
15.184
14.141
9.738
13.754
12.449
11.408
10.083
9.225
9.346
46.974
41.393
40.998
0
10.000
20.000
30.000
40.000
50.000
60.000
70.000
80.000
2014
2015
2016
(Milyon Dolar)
Avrupa Birliği Ülkeleri (AB 28) Diğer Avrupa (AB Hariç) Afrika Ülkeleri
Amerika Ülkeleri
Asya Ülkeleri
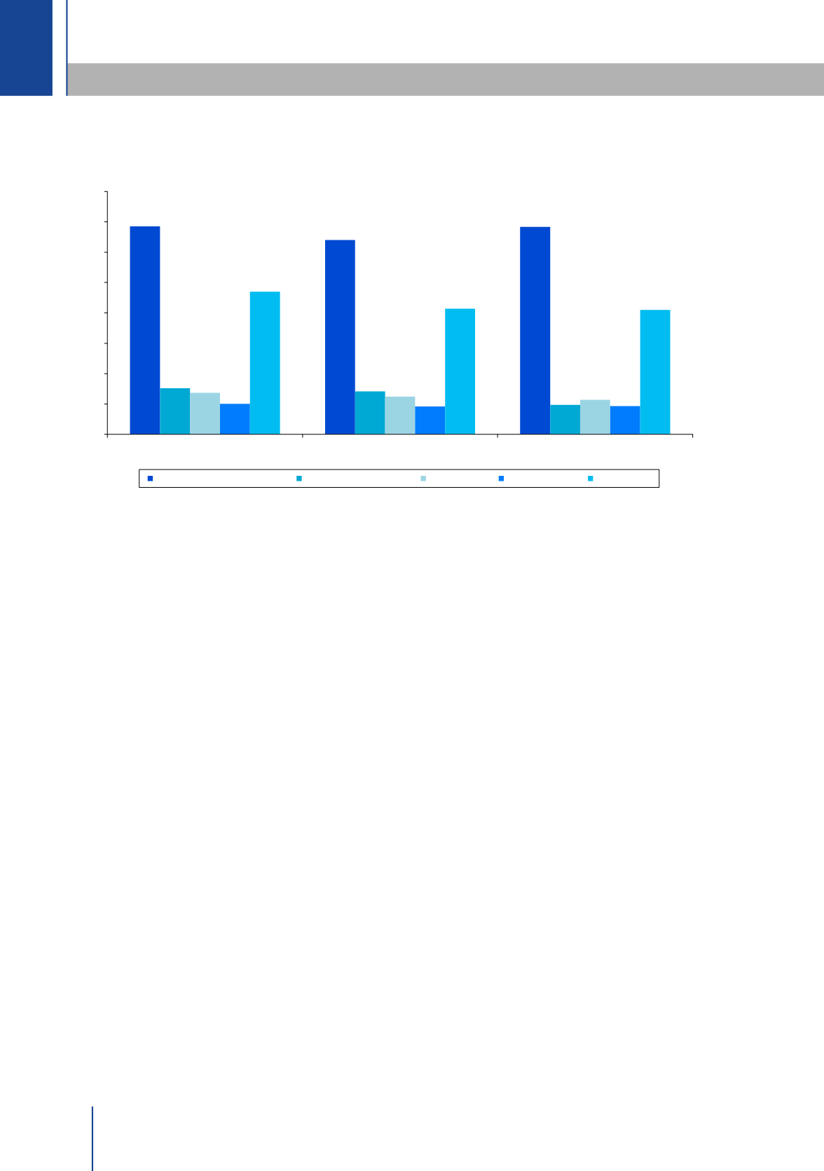
Kaynak: TÜİK.
Grafik 47. Belirli Ülke Gruplarına Göre İhracat
2016 yılında Türkiye Serbest Bölgelerinden yapılan ithalat % 16,9 artarak 1.435 milyon
dolara yükselirken, AB ülkelerinden yapılan ithalat % 1,5 azalarak 77.496 milyon dolara,
diğer ülkeler grubundan yapılan ithalat % 6,0 azalarak 119.680 milyon dolara gerilemiştir.
Toplam ithalat içinde 2016 yılında AB ülkeleri ve Türkiye Serbest Bölgelerinden yapılan
ithalatın payı artarken, diğer ülkelerin payı düşüş göstermiştir. 2016 yılında toplam ithalat
içinde AB ülkelerinden yapılan ithalatın payı % 39,0, Türkiye Serbest Bölgelerinden yapılan
ithalatın payı % 0,7 ve diğer ülkeler grubundan yapılan ithalatın payı % 60,3 düzeyinde
gerçekleşmiştir.
Diğer ülkeler başlığı altında yer alan ülkelerden yapılan 119.680 milyon dolarlık ithalatın
21.905 milyon doları AB haricindeki diğer Avrupa ülkelerinden, 5.355 milyon doları Afrika
ülkelerinden, 16.990 milyon doları Amerika ülkelerinden, 68.017 milyon doları Asya
ülkelerinden, 655 milyon doları Avustralya ve Yeni Zelanda’dan ve 6.757 milyon doları da
diğer ülke ve bölgelerden yapılmıştır. Toplam ithalat içinde AB dışındaki Avrupa ülkelerinden
yapılan ithalat % 11,0, Afrika ülkelerinden yapılan ithalat % 2,7, Amerika ülkelerinden yapılan
ithalat % 8,6, Asya ülkelerinden yapılan ithalat % 34,2, Avustralya ve Yeni Zelanda’dan
yapılan ithalat % 0,3, diğer ülke ve bölgelerden yapılan ithalat ise % 3,4 paya sahiptir
(Grafik 48).




