Türkiye Odalar ve Borsalar Birliği • www.
tobb.org.tr183
EKONOMİK RAPOR - 2016
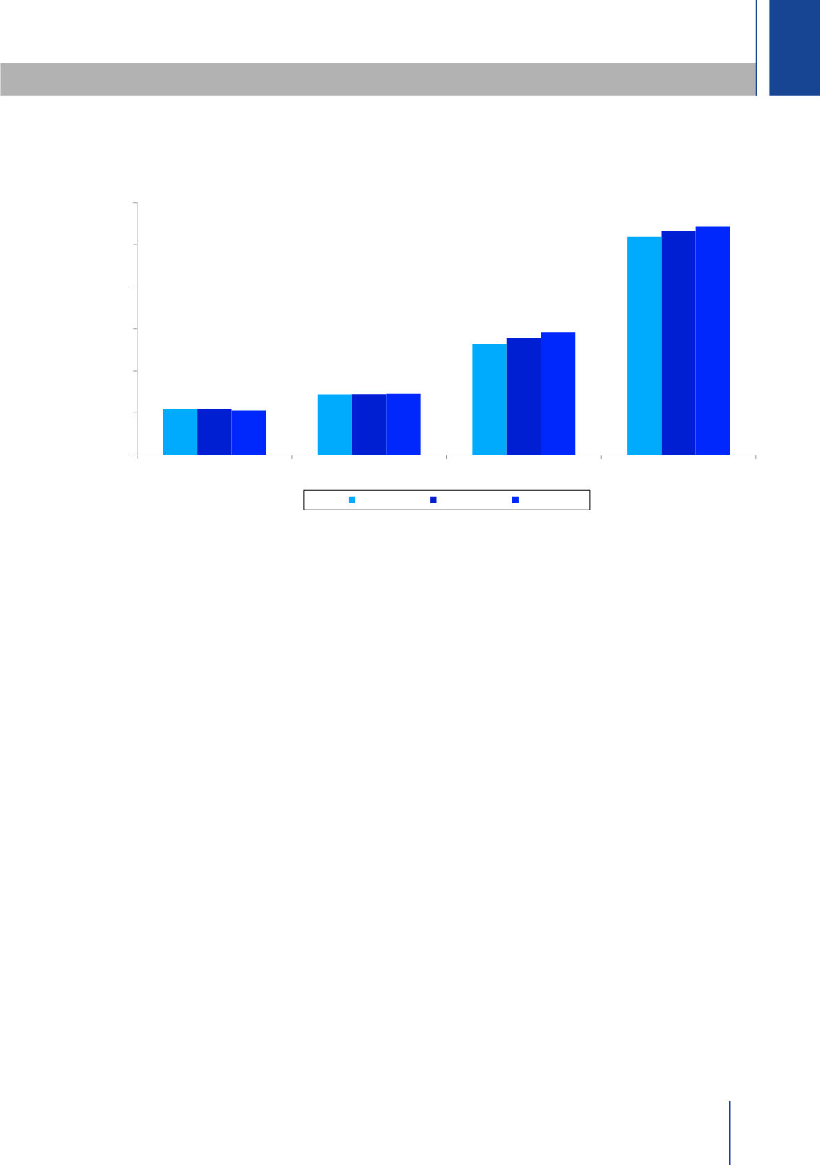
5.470
7.227
13.235
25.933
5.483
7.247
13.891
26.621
5.305
7.283
14.617
27.205
0
5.000
10.000
15.000
20.000
25.000
30.000
Tarım
Sanayi
Hizmetler
Toplam
2014
2015
2016
(Bin Kişi)
Kaynak: TÜİK.
Grafik 59. İstihdam Edilenlerin Sektörel Dağılımı
2.4.2.2 Bölgesel Düzeyde İstihdam Göstergeleri
2016 yılında İBBS Düzey-1’e göre istihdamın sektörel dağılımına bakıldığında tarım
sektörünün en büyük değerini 894 bin kişi ile Ege bölgesinde, en küçük değerini de 51 bin
kişi ile İstanbul bölgesinde aldığı görülmektedir. Sanayi sektörü en büyük değerini 1 milyon
822 bin kişi ile İstanbul bölgesinde, en küçük değerini de 87 bin kişi ile Kuzeydoğu Anadolu
bölgesinde almaktadır. Hizmetler sektörü ise sanayi sektöründe olduğu gibi en büyük
değerini 3.685 bin kişi ile İstanbul bölgesinde, en küçük değerini de 274 bin ile Kuzeydoğu
Anadolu bölgesinde almıştır (Tablo 135).
İstihdam edilenler içinde tarım sektörünün payının en yüksek olduğu bölge % 50,8 ile
Kuzeydoğu Anadolu, en düşük olduğu bölge % 0,9 ile İstanbul bölgesi olmuştur.
Sanayi sektörünün istihdam edilenler içindeki payının en yüksek olduğu bölge % 39,1 ile
Doğu Marmara, en düşük olduğu bölge % 11,9 ile Kuzeydoğu Anadolu bölgesi olmuştur.
Hizmetler sektörünün istihdam edilenler içindeki payının en yüksek olduğu bölge % 66,3 ile
İstanbul, en düşük olduğu bölge % 37,3 ile Kuzeydoğu Anadolu olmuştur.




