Türkiye Odalar ve Borsalar Birliği • www.
tobb.org.tr11
EKONOMİK RAPOR - 2016
1,4
0,3
0,8
4,7
4,7
4,5
3,5
2,7
3,1
4,9
5,5
5,8
1,5
0,2
0,8
3,2
2,8
2,9
0
1
2
3
4
5
6
7
2014
2015
2016
(%)
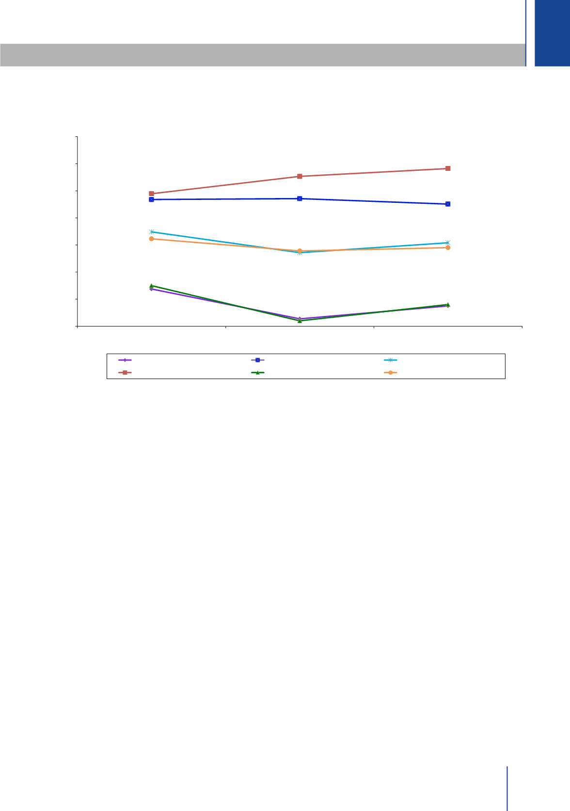
Grafik 3. Tüketici Fiyat Endeksi Değişim Oranları
Gelişmiş Ülkeler
Gelişmekte Olan Ülkeler
Gelişmekte Olan Asya Ekonomileri
Latin Amerika ve Karayipler
G7 Ülkeleri
Dünya
Kaynak: IMF.
Grafik 3. Tüketici Fiyat Endeksi Değişim Oranları
Gelişmiş ülkeler grubunda yer alan ABD’de bu yıl enflasyon % 1,1 olarak gerçekleşmiştir.
Fiyatların artmasında en önemli etkenler özel tüketim ve ücretlerdeki artış olmuştur. Petrol
fiyatlarındaki yükselmeler de ABD enflasyonunu yukarı çeken unsurlardan biri olarak ön
plana çıkmaktadır. Mali politika uygulamaları ile enflasyonun % 2,0 seviyesinin üzerine
çıkması beklenirken, Fed, yıl içerisinde belirli dönemlerde faiz artıracağını açıklayarak
enflasyonu bu seviyede korumaya çalışacağını belirtmiştir. Japonya’da ise bu yıl deflasyon
gerçekleşmiş ve fiyatlar % 0,2 düzeyinde azalmıştır. İngiltere’de enflasyonun yükselerek
% 0,7 olarak gerçekleşmesi beklenmektedir. İngiltere’de artan bu enflasyonun Brexit’ten
kaynaklandığı kabul edilmekte ve bu artışın kalıcı olacağı düşünülmektedir.
Rusya’da ise enflasyonda geçen yıl ortaya çıkan 7,7 puanlık artış bu yıl 8,3 puanlık düşüşle
dengelenmiştir. 2016 yılı Rusya enflasyonu % 7,2 olarak gerçekleşmiştir. Çin’de enflasyon
0,7 puanlık artışla % 2,1, Hindistan’da ise 0,6’lık artışla % 5,5 seviyelerine yükselmiştir.
2016 yılında özet olarak, enflasyon toparlanma sinyalleri vermiştir. Gelişmekte olan
ekonomiler dışında bütün ülke gruplarında artış gözlenmiştir.




