Türkiye Odalar ve Borsalar Birliği • www.
tobb.org.tr73. GENEL KURUL
20
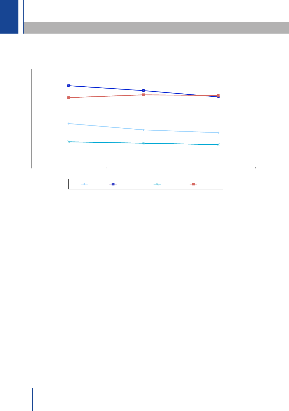
Grafik 5. İşsizlik Oranları
1.9 Küresel Rekabet Edebilirlik Endeksi
Dünya Ekonomik Forumu tarafından 2004 yılından beri oluşturulan Küresel Rekabet
Edebilirlik Endeksi (KREE), her ülkenin verimlilik ve rekabeti açısından kritik veriler içeren
“Temel Gereklilikler”, “Etkinlik Artırıcılar” ve “İnovasyon Faktörleri” olarak adlandırılan üç alt
endeksten oluşmaktadır. Ülkeler bu endeks ile uluslararası alanda kendilerini diğer ülkelerle
kıyaslama, üstün ve zayıf oldukları alanları görme, uygulamakta oldukları politikaları gözden
geçirme, yeni kararlar alabilme ve bunları uygulamaya koyabilme imkânı bulmaktadır.
KREE’nin son dönem verilerine göre, İsviçre rekabet edebilirlik anlamında son üç dönemde
sırasıyla 5,70, 5,76 ve 5,81 puan ile ilk sırada yer alarak rekabet edebilirlik koşullarını en iyi
sağlayan ülke konumunu devam ettirmiştir (Tablo 10).
2016-2017 KREE sıralamasında İsviçre’yi, 2015-2016 ve 2014-2015’e benzer olarak
Singapur veABD takip etmiştir. Bu ülkeler sırasıyla 5,72 ve 5,70 puan almışlardır. Sıralamada
Hollanda 1 basamak yukarı çıkarak 4. olmuş, yerini Hollanda’ya kaptıran Almanya ise 1
basamak gerileyerek 5. sırada yer almıştır. İsveç ve İngiltere üçer basamak yükselerek 6.
ve 7. olmuşlardır. Bu yükselmeler ilk 10 içerisindeki en hızlı yükselmeler olarak ön plana
çıkmaktadır. Japonya, Hong Kong ve Finlandiya ise 8, 9 ve 10. basamaklarda yer almışlardır.
İlk 10’da yer alan ülkelerde bir önceki yıla göre değişim olmamıştır.
6,2
5,3
4,9
11,6
10,9
10,0
3,6
3,4
3,2
9,9
10,3
10,2
0
2
4
6
8
10
12
14
2014
2015
2016
(%)
ABD
Euro Bölgesi
Japonya
Türkiye
Kaynak: IMF.




