Türkiye Odalar ve Borsalar Birliği • www.
tobb.org.tr73. GENEL KURUL
54
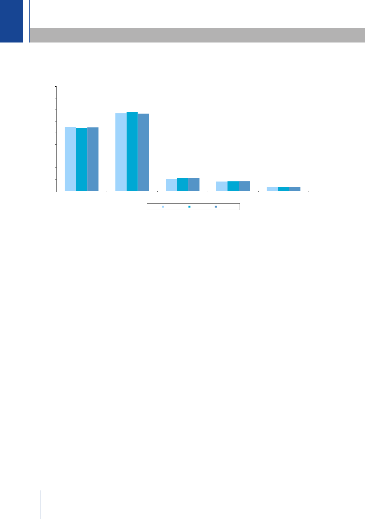
2016 yılında geçerliliği devam eden kapasite raporlarının % 37,8’i 1-9 çalışanı olan firmalara,
% 46,0’ı 10-49 çalışanı olan firmalara, % 7,9’u 50-99 çalışanı olan firmalara, % 5,8’i 100-
249 çalışanı olan firmalara ve % 2,5’i de 250 ve üzeri çalışanı olan firmalara aittir.
2016 yılı sonu itibarıyla geçerliliği devam eden kapasite raporlarını almış olan firmaların
raporun alındığı dönemdeki çalışan sayılarına göre dağılımına bakıldığında; 1-9 çalışanı
olan firmalardaki çalışan sayısının toplam çalışan sayısının % 4,8’ini, 10-49 çalışanı olan
firmalardaki çalışan sayısının toplamçalışanların%25,7’sini, 50-99 çalışanı olan firmalardaki
çalışan sayısının toplam çalışanların % 13,4’ünü, 100-249 çalışanı olan firmalardaki çalışan
sayısının toplam çalışanların % 21,4’ünü ve 250 ve üzeri çalışanı olan firmalardaki çalışan
sayısının da toplam çalışanların % 34,6’sını oluşturduğu görülmektedir.
Ana faaliyet gruplarına göre 2016 yılında geçerliliği devam eden en çok sanayi kapasite
raporu bulunan faaliyet grubu önceki yıllarda da olduğu gibi % 11,7’lik pay ile gıda ürünlerinin
imalatı olurken, onu % 11,2 ile fabrikasyon metal ürünleri imalatı (makina ve teçhizat hariç),
% 8,8 ile başka yerde sınıflandırılmamış makine ve ekipman imalatı ve % 8,2 ile tekstil
ürünlerinin imalatı izlemiştir. Geçerliliği devam eden en az kapasite raporu bulunan faaliyet
grupları içinde ise 4 kapasite raporu ile ormancılık ile endüstriyel ve yakacak odun üretimi,
6 kapasite raporu ile ham petrol ve doğalgaz çıkarımı ve 15 kapasite raporu ile balıkçılık
ve su ürünleri yetiştiriciliği grupları yer almıştır. 2016 yılında geçerliliği devam eden sanayi
kapasite raporu sayıları bir önceki yıl ile karşılaştırıldığında en yüksek düşüş % 90,1 ile
motorlu kara taşıtı, treyler ve yarı treyler imalatı ve % 90,0 ile deri ile ilgili ürünlerin imalatı
grubunda görülürken, en fazla artış % 20,0 ile ham petrol ve doğalgaz çıkarımı grubunda
gerçekleşmiştir (Tablo 32).
Grafik 14. Çalışan Aralıklarına Göre Sanayi Kapasite Raporu Sayısı
27.566
33.452
5.128
4.042
1.637
27.039
34.070
5.480
4.094
1.750
27.370
33.306
5.695
4.182
1.816
0
5.000
10.000
15.000
20.000
25.000
30.000
35.000
40.000
45.000
1-9
10-49
50-99
100-249
250 +
(Adet)
Grafik 14. Çalışan Aralıklarına Göre Sanayi Kapasite Raporu Sayısı
2014
2015
2016
Kaynak: TOBB.
Adet




