TÜRKİYE DEMİR VE DEMİRDIŞI METALLERMECLİSİ RAPORU 2016
44
Türkiye Odalar ve Borsalar Birliği /
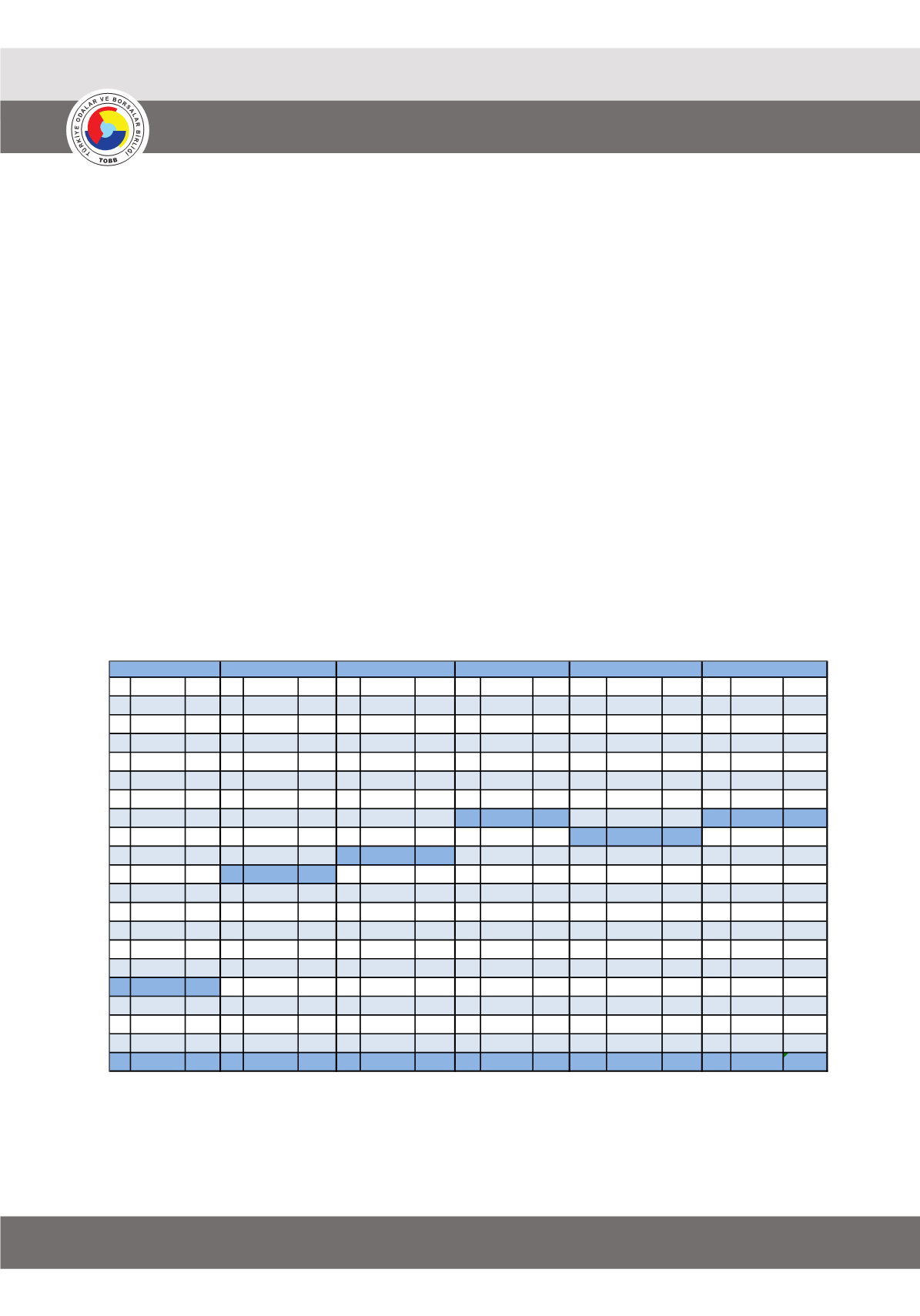
www.tobb.org.tr2000 yılında 848 milyon tonluk dünya ham çelik üretimi içerisinde, 14.3 milyon
tonluk üretimi ve %1,7 oranındaki üretim payı ile 17. sırada yer alan Türkiye, 2012
yılına kadar, 2009 yılındaki kriz kaynaklı istisnai düşüş haricinde, üretimini istikrarlı bir
şekilde arttırarak, 9 basamak birden yükselmiş, 1.55 milyar tonluk dünya ham çelik
üretimi içerisinde, 35.9 milyon tonluk üretimi ile 8.sıraya; AB ülkeleri arasında ise 2.
sıraya yerleşmiştir. 2013 yılında, ham çelik üretimi % 3.4 oranında düşüş gösteren
Türkiye’nin, en büyük 10 çelik üreticisi ülke arasında, Güney Kore’den sonra ikinci en
kötü performansı sergilemesinin ardından, üretimdeki düşüş 2014 yılında da devam
etmiş, buna rağmen Türkiye, sekizinci sıradaki yerini korumuştur. Ancak 2015 yılındaki
keskin üretim düşüşü neticesinde, Türkiye dünya ham çelik üretim sıralamasında 9.
sıraya gerilemiştir. 2016 yılında ise, diğer büyük çelik üreticisi ülkeler arasında nispeten
daha yüksek performansı sayesinde, 1 yıl aradan sonra yeniden dünya sıralamasında
8. sıradaki yerini elde etmiştir.
TABLO-20: DÜNYAHAMÇELİKÜRETİMSIRALAMASINDATÜRKİYE’NİNYERİ (1.000 TON)
50
20
00 ylnda 848 milyon tonluk dünya ham çelik üretimi içerisinde, 14.3 milyon
tonluk üretimi ve %1,7 oranndaki üretim pay ile 17. srada yer alan Türkiye, 2012
ylna kadar, 2009 ylndaki kriz kaynakl istisnai düşüş haricinde, üretimini istikrarl bir
şekilde arttrarak, 9 basamak birden yükselmiş, 1.55 milyar tonluk dünya ham çelik
üretimi içerisinde, 35.9 milyon tonluk üretimi ile 8.sraya; AB ülkeleri arasnda ise 2.
sraya yerleşmiştir. 2013 ylnda, ham çelik üretimi % 3.4 orannda düşüş gösteren
Türkiye’nin, en büyük 10 çelik üreticisi ülke arasnda, Güney Kore’den sonra ikinci en
kötü p rform ns sergilemesinin ard dan, üret mdeki düşüş 2014 ylnda d devam
etmiş, buna rağmen Türkiye, sekizinci sradaki yerini korumuştur. Ancak 2015 ylndaki
keskin üretim düşüşü neticesinde, Türkiye dünya ham çelik üretim sralamasnda 9.
sraya gerile iştir. 2016 ylnda ise, diğer büyük çelik üreticisi ülkeler arasnda
nispeten d h yüksek performans sayesinde, 1 yl aradan sonra yeniden dünya
sralamasnda 8. sradaki yerini elde etmiştir.
TABLO-20: DÜNYA HAM ÇELİK ÜRETİM SIRALAMASINDA TÜRKİYE’NİN YERİ
(1.000 TON)
1.
Çin
127
1.
Çin
356
1.
Çin
639
1
Çin
822
1.
Çin
804
1. Çin
808
2.
Japonya
106
2.
Japonya
112
2.
Japonya
110
2
Japonya
111
2.
Japonya
105
2.
Japonya
105
3.
ABD
102
3.
ABD
93
3.
ABD
80
3
A.B.D.
87
3.
Hindistan
90
3.
Hindistan
96
4.
Rusya
59
4.
Rusya
66
4.
Hindistan
68
4
Hindistan
81
4.
ABD
79
4.
ABD
79
5.
Almanya
46
5.
G. Kore
48
5.
Rusya
67
5
Rusya
69
5.
Rusya
71
5.
Rusya
71
6.
G. Kore
43
6.
Almanya
45
6.
G.Kore
59
6
G.Kore
66
6.
G. Kore
70
6.
GüneyKore
69
7.
Ukrayna
32
7.
Hindistan
41
7.
Almanya
44
7
Almanya
43
7.
Almanya
43
7.
Almanya
42
8.
Brezilya
28
8.
Ukrayna
39
8.
Ukrayna
33
8 TÜRKİYE
35
8.
Brezilya
33
8. TÜRKİYE
33
9.
Hindistan
27
9.
Brezilya
32
9.
Brezilya
33
9
Brezilya
34
9.
TÜRKİYE
32
9.
Brezilya
30
10.
İtalya
27
10.
İtalya
29
10. TÜRKİYE
29
10
Ukrayna
33
10.
Ukrayna
23
10.
Ukrayna
24
11.
Fransa
21
11. TÜRKİYE
21
11.
İtalya
26
11
İtalya
24
11.
İtalya
22
11.
İtalya
23
12.
Tayvan
17
12.
Fransa
19
12.
Tayvan
20
12
Tayvan
22
12.
Tayvan
22
12.
Tayvan
22
13.
Kanada
17
13.
Tayvan
19
13.
Meksika
17
13
Meksika
18
13.
Meksika
18
13.
Meksika
19
14.
İspanya
16
14.
İspanya
18
14.
İspanya
16
14
Fransa
16
14.
İran
16
14.
İran
18
15.
Meksika
16
15.
Meksika
16
15.
Fransa
15
15
İran
15
15.
Fransa
15
15.
Fransa
15
16.
İngiltere
15
16.
Kanada
15
16.
Kanada
13
16
İspanya
14
16.
İspanya
15
16.
İspanya
14
17. TÜRKİYE
14
17.
İngiltere
13
17.
İran
12
17
Kanada
12
17.
Kanada
13
17.
Kanada
13
18.
Belçika
12
18.
Belçika
10
18.
İngiltere
10
18
İngiltere
12
18.
İngiltere
11
18.
Polonya
9
19.
Polonya
10
19.
Polonya
8
19.
Polonya
8
19
Polonya
8
19.
Polonya
9
19.
Belçika
8
20.
G. Afrika
8
20.
İran
9
20.
Belçika
8
20
Avusturya
8
20.
Avusturya
8
20.
İngiltere
8
Dünya
848 Dünya
1.142
Dünya
1.430
Dünya
1.649
DÜNYA 1.662
DÜNYA
1.628,5
2016
Kaynak: worldsteel
2015
2005
2010
2000
2013




