TÜRKİYE DEMİR VE DEMİRDIŞI METALLERMECLİSİ RAPORU 2016
63
Türkiye Odalar ve Borsalar Birliği /
www.tobb.org.tr5. Dünyada ve Türkiye’de Kişi Başı Ham Çelik Tüketimi
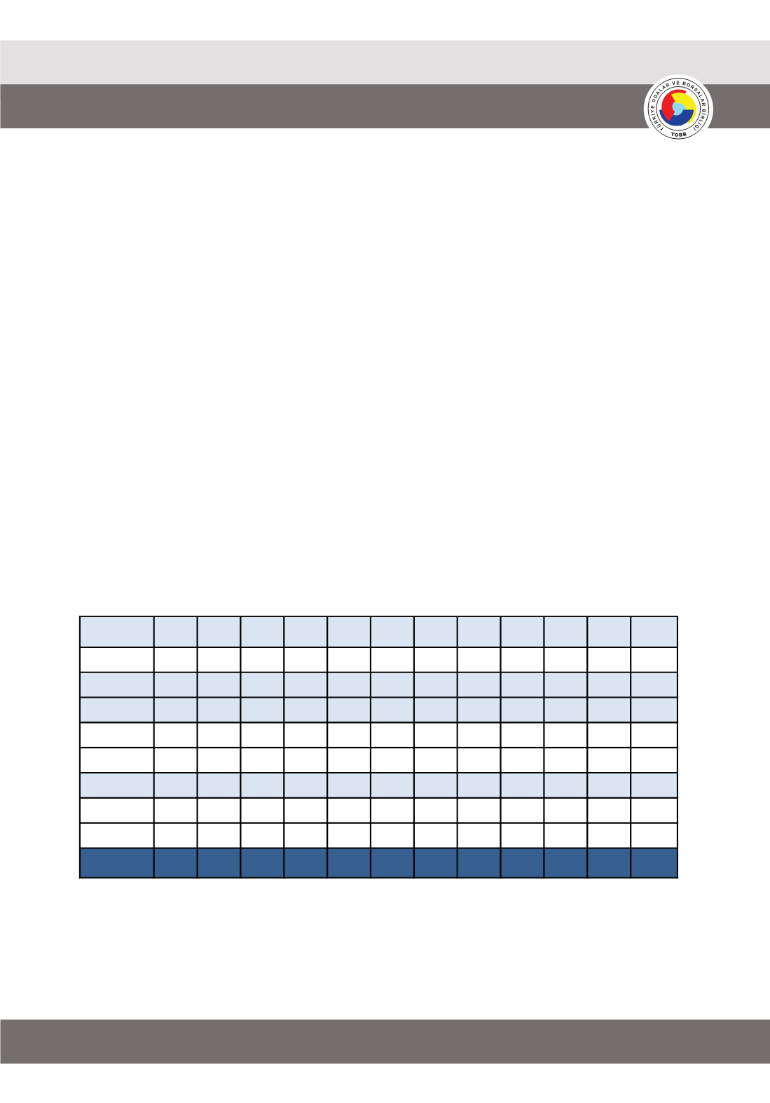
Türkiye, 2015 yılında gerçekleştirdiği 464 kg seviyesindeki kişi başına ham çelik
tüketimi ile, İngiltere, İspanya, Hollanda, Polonya, Danimarka gibi pek çok AB ülkesi
ve AB ortalamasının üzerinde bir seviyede yer almıştır. 2000 yılından bu yana dünya
ortalamasının oldukça üzerinde artış gösteren ve istikrarlı bir şekilde büyümeye
devam eden Türkiye’nin kişi başına ham çelik tüketimi, 2015 yılında, Türkiye’nin çelik
tüketimindeki % 12’ye varan yükseliş nedeniyle, 464 kg seviyesine ulaşmıştır. 2016
yılında ise, tüketimdeki % 0.9 oranındaki daralma nedeniyle, Türkiye’nin kişi başına
ham çelik tüketimi 454 kg seviyesine gerilemiştir.
Ülkelerin kişi başına ham çelik üretimleri, iç piyasalarında inşaat vb sektörler
tarafından tüketilen çelik miktarı yanında, otomotiv, makine, beyaz eşya, gemi
gibi çelik tüketicisi imalat sanayi sektörlerinin üretim ve ihracat hacimleri ile doğru
orantılıdır. Türkiye’nin çelik tüketimi de, inşaat ve imalat sanayindeki büyümeye
paralel olarak artış göstermektedir.
TABLO-30: DÜNYADA VE TÜRKİYE’DE KİŞİ BAŞI HAM ÇELİK TÜKETİMİ (KG)
71
5. Dünyada ve Türkiye’de Kişi Baş Ham Çelik Tüketimi
Türkiye, 2015 ylnda gerçekleştirdiği 464 kg seviyesindeki kişi başna ham çelik
tüketimi ile, İngiltere, İspanya, Hollanda, Polonya, Danimarka gibi pek çok AB ülkesi ve
AB ortalamasnn üzerinde bir seviyede yer almştr. 2000 ylndan bu yana dünya
ortalamasnn oldukça üzerinde artş gösteren e i tikrarl bir şekilde büyümeye
devam eden Türkiye’nin kişi başna ham çelik tüketimi, 2015 ylnda, Türkiye’nin çelik
tüketimindeki % 12’ye varan yükseliş nedeniyle, 464 kg seviyesine ulaşmştr. 2016
ylnda ise, tüketimdeki % 0.9 or nndaki daralma nedeniyle, Türkiye’n n kişi başna
ham çelik tüketimi 454 kg seviyesine gerilemiştir.
Ülkelerin kişi başna ham çelik üretimleri, iç piyasalarnda inşaat vb sektörler
tarafndan tüketilen çelik miktar yannda, otomotiv, makine, beyaz eşya, gemi gibi
çelik tüketicisi imalat sanayi sektörlerinin üretim ve ihracat hacimleri ile doğru
orantldr. Türkiye’nin çelik tüketimi d , i şaat ve imalat sanayindeki büyümeye
paralel olarak artş göstermektedir.
TABL -30:
YA A VE T RKİYE’ E KİŞİ BAŞI A ÇELİK T KETİ İ (K )
Kişi başna nihai mamul tüketimi açsndan bakldğnda ise, 2015 ylnda, kişi
başna 1114 kg nihai mamul tüketimi ile, Güney Kore en fazla çelik tüketen ülke
2000 2005 2006 2007 2008 2009 2010 2011 2012 2013 2014 2015
G.Kore
854 1.021 1.105 1.209 1.278 986 1.133 1.214 1.159 1.082 1.155 1.156
Japonya
628 656 657 679 658 443 533 550 544 558 575 536
Çin
109 277 299 330 350 430 456 496 508 562 541 509
Almanya
512 468 511 559 542 357 500 520 481 517 530 524
TÜRKİYE
202 269 304 359 320 265 341 384 400 434 421 464
ABD
473 382 429 377 336 203 280 308 323 335 381 337
AB
380 368 419 444 411 254 320 338 302 312 322 332
İngiltere
255 202 243 239 212 127 164 179 177 182 183 183
Dünya
150 189 204 215 213 195 221 236 238 234 234 224
Kaynak: Worldsteel
Kişi başına nihai mamul tüketimi açısından bakıldığında ise, 2015 yılında, kişi başına
1114 kg nihai m mul tüketi i ile, Güney Kore en fazl çelik tüketen ülke konumunda




