TÜRKİYE İKLİMLENDİRME SANAYİ SEKTÖR RAPORU
2015
150
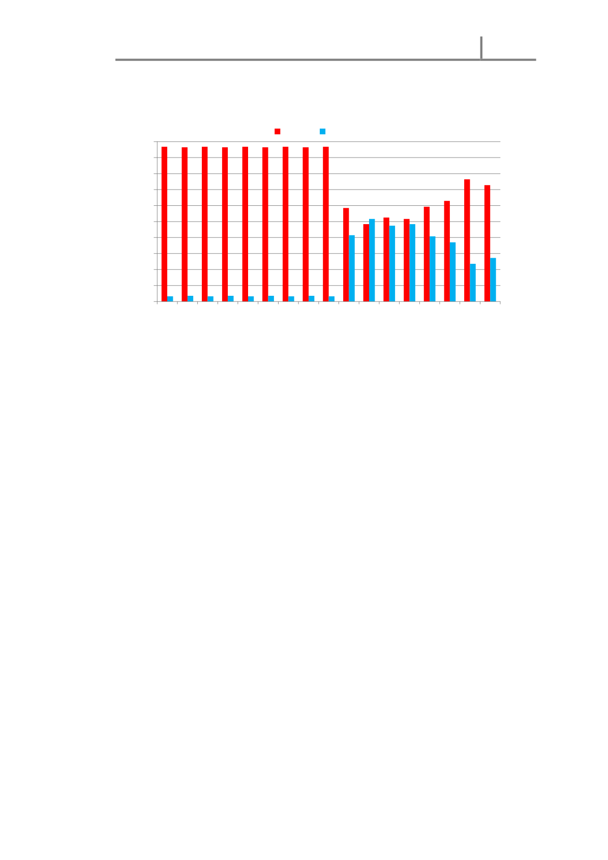
Şekil 53.
1998-2014 Türkiye klima iç satış-ihracat oranlarının yıllara göre değişimi
Bu verilerden de anlaşılacağı üzere, 2007 yılından itibaren klima sektörü ihracat atağı
gerçekleştirmiştir. 2007 yılında iç satış-ihracat oranı % 58-42 seviyesinde iken 2008
yılında maksimum oran olan % 48-52 seviyesine erişmiştir. 2009 yılında tekrar iç satış
oranı ihracat oranını geçmeye başlamıştır. 2012 yılında iç satış-ihracat oranı % 63-37
seviyesine gelmiştir. 2013 yılında ise iç satış-ihracat oranı %76/24, 2014 yılında %
73/27 oranında dengelenmiştir.
0
10
20
30
40
50
60
70
80
90
100
1998 1999 2000 2001 2002 2003 2004 2005 2006 2007 2008 2009 2010 2011 2012 2013 2014
İç Satış - İhracat Oranları (%)
Yıllar
İç Satış İhracat




