TÜRKİYE İKLİMLENDİRME SANAYİ SEKTÖR RAPORU
2015
145
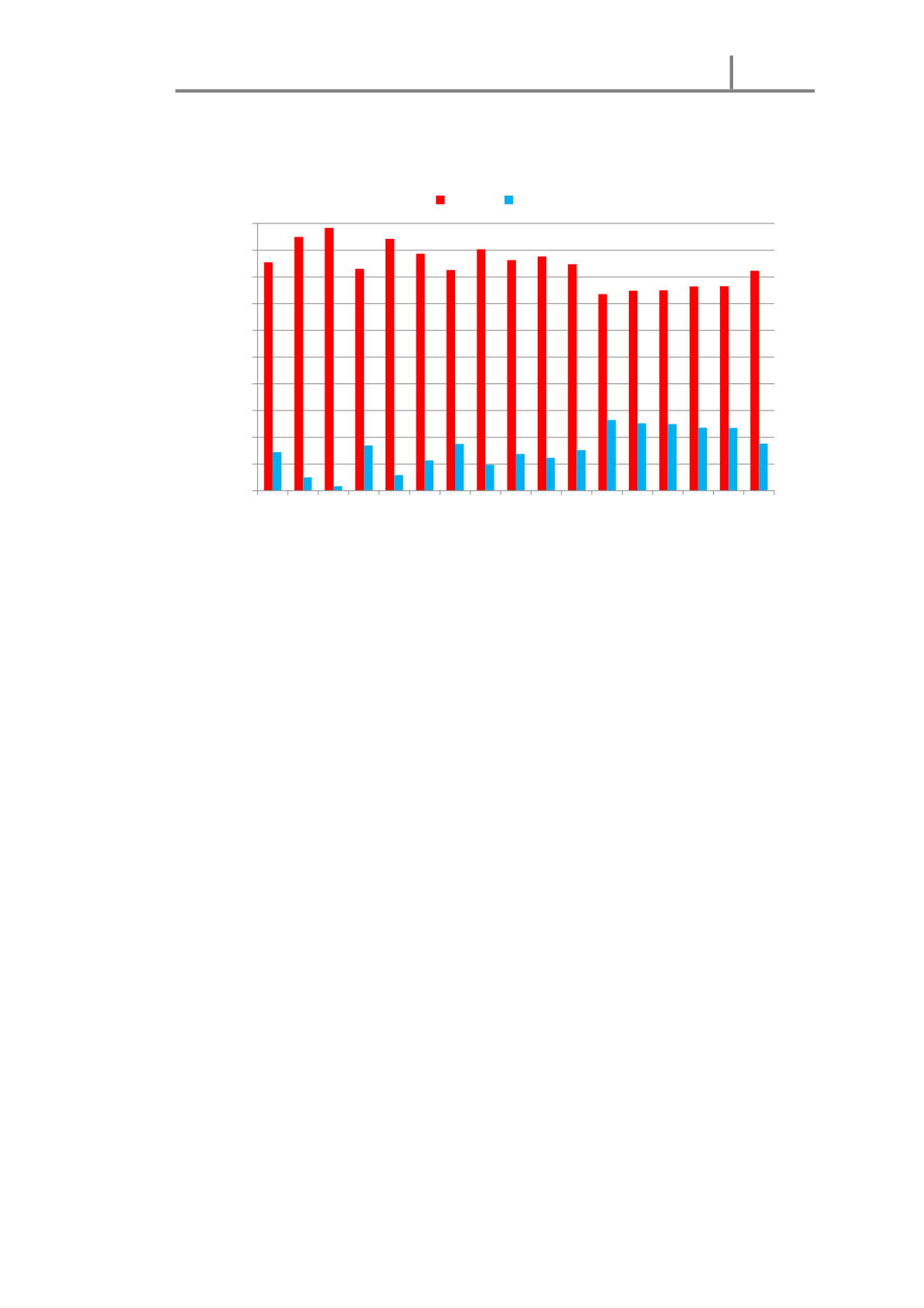
Şekil 49.
1998- 2014 Soğuk Su Üretici Guruplar, iç satış-ihracat oranlarının
değişimi[16]
Şekil 49’da, 1998-2014 yılları arsında soğuk su üretici gurupların iç satış-ihracat
oranlarının değişimi görülmektedir. Şekil 49 değerlendirilecek olursa, 1998-2001
yılları arasında ortalama iç satış-ihracat oranı % 90-10 olan sektör, 2002-2006 yılları
arasında bu ortalama oranların % 88-12 olarak gerçekleşmesi ile ihracata ağırlık
vermeye başladığı gözlenmektedir. 2007 yılında, iç satış-ihracat oranı % 88-12 olarak
gerçekleşmiştir. 2007-2014 yılları arasında ortalama iç satış-ihracat oranı % 79-21
olarak gerçekleşmiştir.
0
10
20
30
40
50
60
70
80
90
100
1998 1999 2000 2001 2002 2003 2004 2005 2006 2007 2008 2009 2010 2011 2012 2013 2014
İç Satış - İhracat Oranları (%)
Yıllar
İç Satış İhracat




