TÜRKİYE İKLİMLENDİRME SANAYİ SEKTÖR RAPORU
2015
144
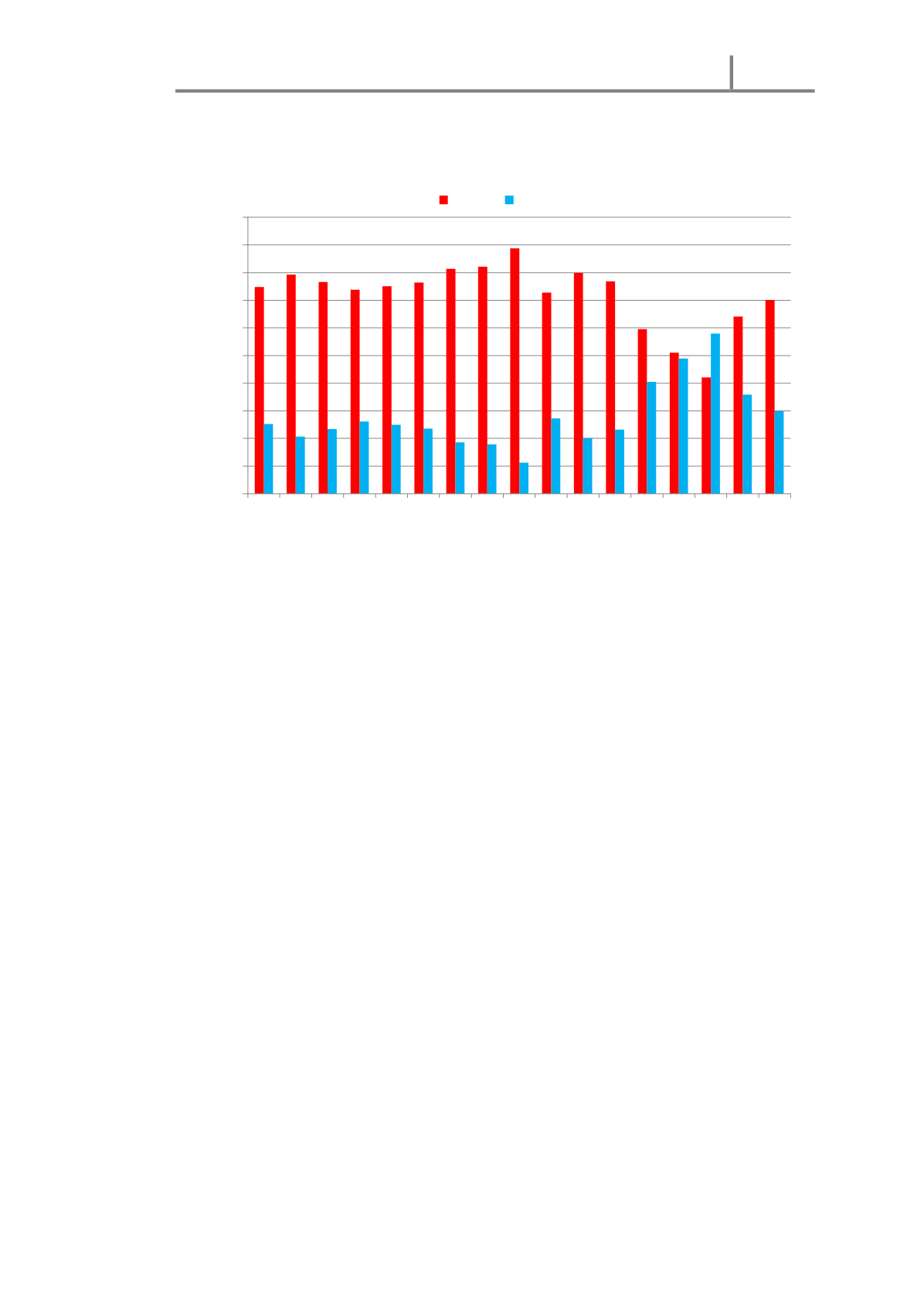
Şekil 48.
1998- 2014 Soğuk Su Üretici Guruplar, imalat-ithalat oranlarının
değişimi[16]
Şekil 48’de, 1998- 2014 Soğuk su üretici guruplar, imalat-ithalat oranlarının değişimi
görülmektedir. Şekil 48 incelendiğinde, 1998-2001 yılları arasında ortalama imalat-
ithalat oranı, % 24-76 olan sektör, 2002-2006 yılları arasında ortalama % 19-81
oranına ulaşmıştır. Bu iki ortalama karşılaştırıldığında, ithalat oranının giderek arttığı,
imalat oranının ise azaldığı görülmektedir. 2007 yılında imalat-ithalat oranları
,
% 27-
73 olarak gerçekleşmiştir. 2007 – 2014 yılları arasında ortalama imalat-ithalat oranı %
35-65 olarak gerçekleşmiştir. 2011 yılında imalat – ithalat oranını yakalayarak
yaklaşık % 49-51 oranına yükselmiştir. 2012 yılında ise soğuk su üretici gruplar imalat
– ithalat oranı % 33- 67 seviyesine gerilemiştir. 2013 yılında, imalat ithalat oranı,
imalat yönünde bozularak % 57/43 mertebesine ulaşmıştır. 2014 yılında bu oran % 30-
70 olarak gerçekleşmiştir.
0
10
20
30
40
50
60
70
80
90
100
1998 1999 2000 2001 2002 2003 2004 2005 2006 2007 2008 2009 2010 2011 2012 2013 2014
İmalat-İthalat Oranları (%)
Yıllar
İthalat İmalat




