TÜRKİYE İKLİMLENDİRME SANAYİ SEKTÖR RAPORU
2015
207
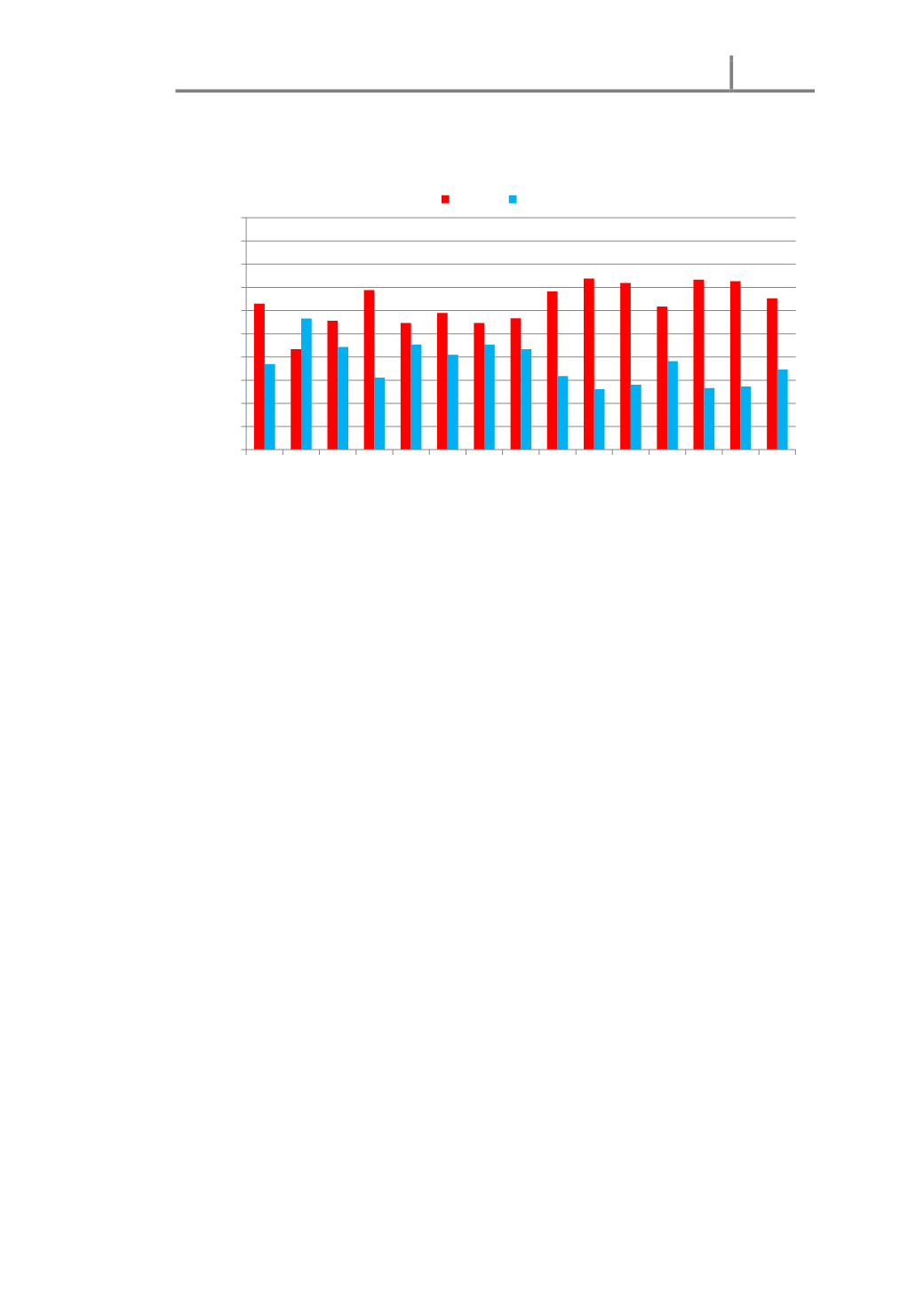
Şekil 93.
2000-2014 Yalıtım İhracat-İthalat Oranları Karşılaştırmaları (%)
Şekil 93’de 2000-2014 yılları arasında yalıtım ihracat-ithalat oranları yüzde olarak
sunulmuştur. Şekil 93 incelendiğinde, 2000 yılında % 63-37 olan ihracat-ithalat oranı,
2010 yılında % 72-28 olarak gerçekleşmiştir. 2011 yılında, yalıtım ihracat-ithalat oranı
%62-38 mertebesine ulaşmıştır. 2012 yılına gelindiğinde ise, yalıtım ihracat-ithalat
oranı %73-27 seviyesine ulaşmış, aynı oran 2013 yılında da korunmuştur. 2014 yılında
bu oran %65-35 dengesine gerilemiştir.
(d) Boru
Çizelge 33’de, İklimlendirme yan sektörlerinden borular ihracat ve ithalat değerleri
USD cinsinden sunulmuştur. Çizelge 33a’ya göre, 2000 yılında, 109 Milyon USD
mertebesinde olan borular ihracatı 2010 yılında yaklaşık 3,8 kat artarak 413 Milyon
USD mertebesine ulaşmıştır. 2011 yılında ise, bir önceki yıla oranla, borular ihracatı
% 23 artarak 510 milyon USD’a ulaşmıştır. Bu artış 2012 yılında, %13 mertebesini
geçememiştir. 2013 yılında, borular ihracatı bir önceki yıla göre % 46 oranında artarak
844 milyon USD değerine ulaşmıştır.
Çizelge 33b’ye göre, 2000 yılında, 10 Milyon USD merbesinde seyreden borular
ithalatı, 2010 yılında yaklaşık 14 kat artarak 141 Milyon USD mertebesine erişmiştir.
Dolayısıyla, 10 senelik süreç içerisinde borular ihracatındaki artış ithalattaki artışın
0
10
20
30
40
50
60
70
80
90
100
2000 2001 2002 2003 2004 2005 2006 2007 2008 2009 2010 2011 2012 2013 2014
Yalıtım İthalat - İhracat Oranları (%)
Yıllar
İhracat
İthalat




