TÜRKİYE İKLİMLENDİRME SANAYİ SEKTÖR RAPORU
2015
211
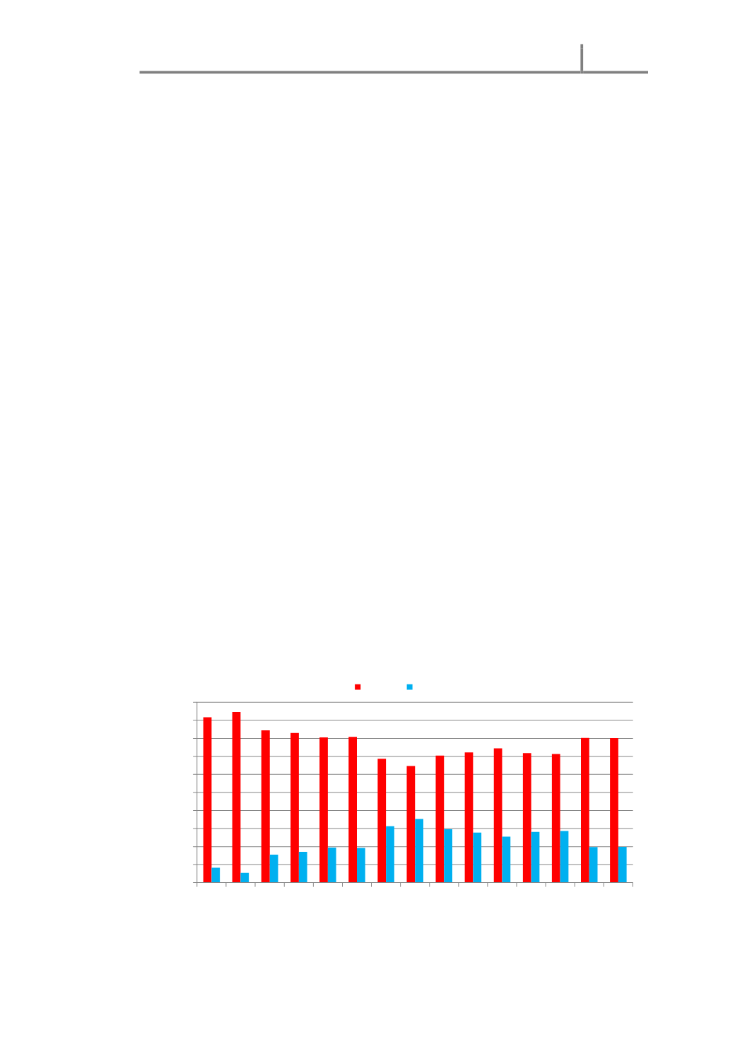
Şekil 94 incelendiğinde, 2000 yılında 10 Milyon USD olan ithalat, 2008 yılında 195
Milyon USD mertebesine ulaşmıştır. İhracat değerleri ise 2000 yılında 109 Milyon
USD değerinden, 2008 yılında 464 Milyon USD değerine ulaşmıştır. 2001 – 2008
yılları arasında, hem ihracat hem de ithalatta artışlar gözlenmiştir. Bununla birlikte,
oransal olarak ithalattaki artış ihracattan daha fazla gerçekleşmesine karşın değer
olarak ihracat daha fazla olduğu için ithalat ihracatı geçememiştir. Bu dönemde ithalat
19,5 kat artarak 195 Milyon USD değerine, ihracat ise 4,3 kat artarak 464 Milyon USD
değerine ulaşmıştır. İhracatın ithalata göre artış hızı %22 oranında gerçekleşmiştir.
2009 yılında hem ihracatta hem de ithalatta krizin etkisiyle düşüş yaşanmıştır. 2009
yılında, ihracatta 2008 yılına göre %40’lık bir düşüş yaşanarak 278 Milyon USD
değerine, ithalatta ise % 45’lik bir düşüş yaşanarak 107 Milyon USD değerine
düşülmüştür. 2010 yılında ise hem ithalatta hem de ihracatta artış yaşanmıştır. Ancak
ihracattaki artış ithalattaki artıştan fazla olmuştur. 2010 yılında, ihracatta 2009 yılına
göre %49’luk bir artış yaşanarak 413 Milyon USD değerine, ithalatta ise % 32’lik bir
artış yaşanarak 141 Milyon USD değerine ulaşılmıştır. 2011 yılında ihracattaki artış
hızı, bir önceki yıla oranla düşüş gösterirken ithalatta artış gözlenmiştir ve bunun
sonucu olarak bütçe fazlası 310 milyon USD’a ulaşmıştır. 2012 yılında ihracattaki artış
hızı, bir önceki yıla oranla düşüş gösterirken ithalattaki artış hızıda yavaşlama
eğilimine girmiştir. Sonuç olarak 2012 yılındaki bütçe fazlası, bir önceki yıla oranla
%12 artarak 346 milyon USD’a ulaşmıştır. 2013 yılında, ihracatta duraklama yaşanmış
ve ithalatta ise artış azalarak devam etmiştir.
Şekil 95.
2000-2014 Borular İhracat-İthalat Oranları Karşılaştırmaları (%)
0
10
20
30
40
50
60
70
80
90
100
2000 2001 2002 2003 2004 2005 2006 2007 2008 2009 2010 2011 2012 2013 2014
Borular İthalat - İhracat Oranları (%)
Yıllar
İhracat
İthalat




