177
EKONOMİK RAPOR - 2015
Türkiye Odalar ve Borsalar Birliği •
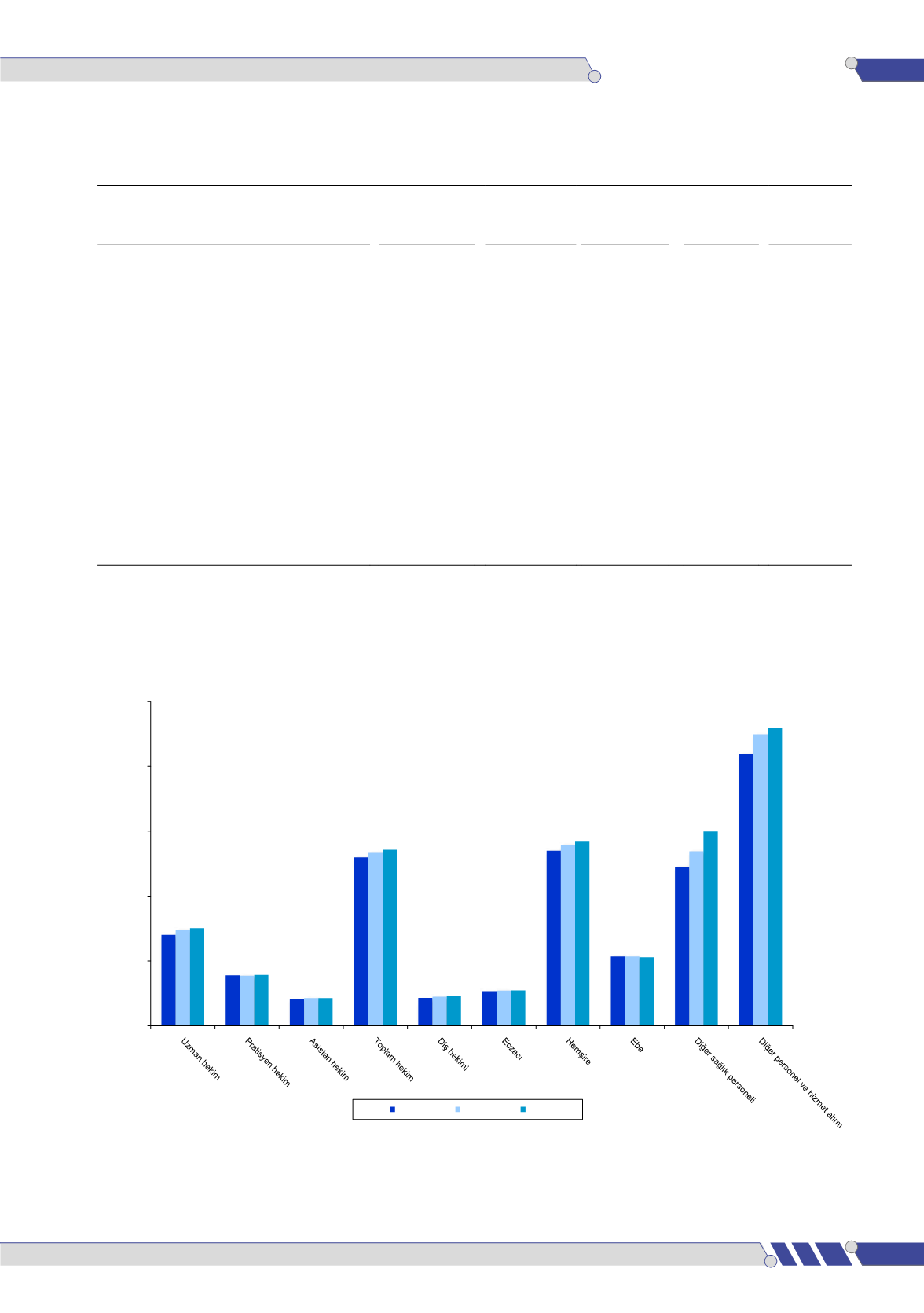
www.tobb.org.trTablo 130. Toplam Sağlık Personeli Sayıları
(1)
Değişim (%)
Sağlık Personeli
2012
2013
2014
2013
2014
Uzman hekim
70.103
73.886
75.251
5,4
1,8
Pratisyen hekim
38.877
38.572
39.045
-0,8
1,2
Asistan hekim
20.792
21.317
21.320
2,5
0,0
Toplam hekim
129.772
133.775 135.616
3,1
1,4
Diş hekimi
21.404
22.295
22.996
4,2
3,1
Eczacı
26.571
27.012
27.199
1,7
0,7
Hemşire
134.906
139.544 142.432
3,4
2,1
Ebe
53.466
53.427
52.838
-0,1
-1,1
Diğer sağlık personeli
122.663
134.488 149.616
9,6
11,2
Diğer personel ve hizmet alımı
209.736
224.618 229.625
7,1
2,2
Toplam personel sayısı
698.518
735.159
760.322
5,2
3,4
Kaynak: SB.
(1): 2015 yılı verileri Raporun basım tarihi itibarıyla yayımlanmamıştır.
70.103
38.877
20.792
129.772
21.404
26.571
134.906
53.466
122.663
209.736
73.886
38.572
21.317
133.775
22.295
27.012
139.544
53.427
134.488
224.618
75.251
39.045
21.320
135.616
22.996
27.199
142.432
52.838
149.616
229.625
0
50.000
100.000
150.000
200.000
250.000
(Kişi)
Grafik 54. Toplam Sağlık Personeli Sayıları
2012
2013
2014
Kaynak: SB.
Grafik 54. Toplam Sağlık Personeli Sayıları




