179
EKONOMİK RAPOR - 2015
Türkiye Odalar ve Borsalar Birliği •
www.tobb.org.tr2015 yılında işgücü 892 bin kişi artarak 29.678 bin kişiye yükselmiştir. İşgücünün
20.453 binini erkekler, 9.225 binini de kadınlar oluşturmuştur. 2015 yılında ek
istihdam 688 bin kişiye yükselmiştir. 2015 yılında istihdam edilen 26.621 bin kişinin
18.562 binini erkekler, 8.058 binini de kadınlar oluşturmuştur.
İşsiz sayısı ise 2.853
binden 3.057 bine yükselirken, işsiz erkek sayısı 1.891 bin, işsiz kadın sayısı da
1.167 bin olarak gerçekleşmiştir.
2015 yılında bir önceki yıla göre istihdam oranı 0,5 puanlık artışla % 46,0’a
yükselmiştir. İstihdam oranı erkeklerde 0,2 puanlık artışla % 65,0, kadınlarda 0,8
puan artışla % 27,5 seviyesinde gerçekleşmiştir.
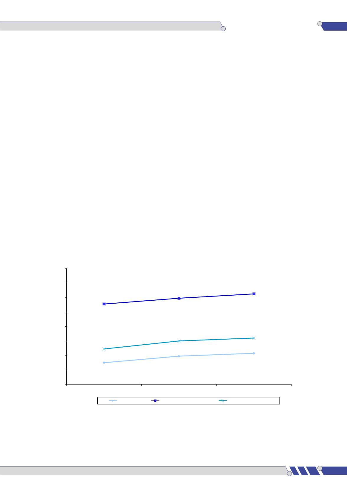
İşsizlik oranı, işgücü artışının istihdam edilenlerden fazla olması nedeniyle 2015
yılında bir önceki yıla göre 0,4 puan artışla % 10,3 seviyesine yükselmiştir. Böylece
2015 yılı program hedefi olan % 9,5’in 0,8 puan üzerinde, 2016-2018 OVP (Orta
Vadeli Plan) gerçekleşme tahmini olan % 10,2’nin 0,1 puan üzerinde gerçekleşmiştir.
İşsizlik oranı erkeklerde 0,2 puan artışla % 9,2, kadınlarda 0,7 puan artışla % 12,6
olmuştur (Grafik 55).
2015 yılında tarım dışı işsizlik oranı bir önceki yıla göre 0,4 puan artarak % 12,4’e,
genç işsizlik oranı 0,6 puan artarak % 18,5’e yükselmiştir. Genç nüfusta işsizlik
oranı erkeklerde 0,1 puan azalışla % 16,5’e gerilerken, kadınlarda 1,8 puan artışla
% 22,2’ye yükselmiştir.
9,0
9,9
10,3
17,1
17,9
18,5
10,9
12,0
12,4
6
8
10
12
14
16
18
20
22
2013
2014
2015
(%)
Grafik 55. İşsizlik Oranları
İşsizlik Oranı
Genç Nüfusta İşsizlik Oranı
Tarım Dışı İşsizlik Oranı
Kaynak: TÜİK.
Grafik 55. İşsizlik Oranları
15 ve daha yukarı yaştaki nüfusun işgücüne katılım oranı, 2015 yılında 0,8 puanlık
artışla % 51,3’e yükselmiştir. İşgücüne katılım oranı erkeklerde 0,3 puan artışla %
71,6, kadınlarda 1,2 puan artışla % 31,5 olmuştur (Grafik 56).




